Mappa del sito
Indice degli aggiornamenti  17/11/25
Metti formule tra i preferiti
Contattaci
Segnalaci ad un amico

Formule e argomenti di matematica, fisica e scienze
Albert Einstein: ... la nostra conoscenza, se paragonata alla realta' e' primitiva e infantile. Eppure e' il bene piu' grande che possediamo.
... all our science, measured against reality, is primitive and childlike-and yet it is the most precious thing we have.



Versione stampabile della scheda visualizzata sotto

Seguici in Facebook    Seguici in Pinterest

Matematica : Geometria analitica nello spazio → Le superfici

Iperboloide iperbolico/One-sheet hyperboloid



Geometria analitica nello spazio, superfici, iperboloide iperbolico, one-sheet hyperboloid, immagine iperboloide iperbolico, a=1, b=1, c=1, u(-π,π), v(-π,π)





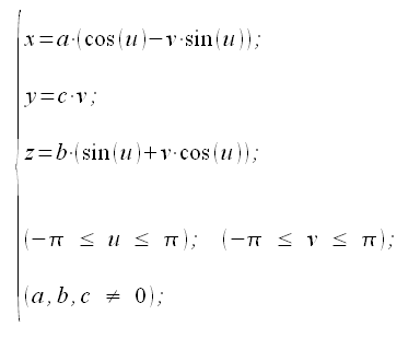
___ EQUAZIONE PARAMETRICA
___ IPERBOLOIDE IPERBOLICO/ONE-SHEET HYPERBOLOID

Geometria analitica nello spazio, superfici, iperboloide iperbolico, one-sheet hyperboloid, equazione parametrica, equazione parametrica iperboloide iperbolico

Made by Formule Development Team





Argomenti correlati e altri percorsi:


Iperboloide iperbolico/One-sheet hyperboloid
Gallery, Curve e superfici/Curves & surfaces R3 (3D), Iperboloide iperbolico/One-sheet hyperboloid
(locale-Formule)

Equazione dell'Iperboloide iperbolico
Geometria analitica nello spazio, Equazione dell'Iperboloide iperbolico

(locale-Formule)

 




  Metti la scheda negli appunti    Click per visualizzare il blocco appunti Visualizza appunti    Click x svuotare blocco appunti Azzera appunti



UTILITY
FormuLe-MATEMATICALC

TROVA FORMULE

UTILITY
FormuLe-FISICALC


TROVA FORMULE

UTILITY
FormuLe-STATISTICALC

UTILITY
Formule-MATFINCALC

UTILITY
Formule-Software download

ARGOMENTI
Matematica

Frattali di Mandelbrot
Benoit Mandelbrot e la Geometria Frattale. Introduzione e immagini.

Statistica e giochi

Lotto e superEnalotto
Una sintetica comparazione statistica e finanziaria dei due giochi.

Ultimo aggiornamento - Last update:  17/11/2025
Privacy and cookies
© www.gobnf.com 2008-2026 - Tutto il materiale contenuto nel sito PUO' essere liberamente usato per scopi personali (studio, creazione di relazioni e tesine etc). Non e' consentito qualsiasi altro tipo di utilizzo o riproduzione. - The entire content of this site may be freely used ONLY for personal purposes (study, creation of reports etc.). It is not allowed any other use or reproduction.