Mappa del sito
Indice degli aggiornamenti  17/11/25
Metti formule tra i preferiti
Contattaci
Segnalaci ad un amico

Formule e argomenti di matematica, fisica e scienze
Albert Einstein: ... la nostra conoscenza, se paragonata alla realta' e' primitiva e infantile. Eppure e' il bene piu' grande che possediamo.
... all our science, measured against reality, is primitive and childlike-and yet it is the most precious thing we have.



Versione stampabile della scheda visualizzata sotto

Seguici in Facebook    Seguici in Pinterest

Matematica: Geometria del piano

Cerchio di Brocard


In un triangolo ABC il segmento, individuato dal circocentro O (centro del cerchio circoscritto al triangolo ABC) e il punto di Lemoine K, e' il diametro di un cerchio chiamato cerchio di Brocard o cerchio dei sette punti. Il diametro OK e' chiamato diametro di Brocard e il suo punto medio CB e' il centro cerchio di Brocard.

___ CERCHIO DI BROCARD, CERCHIO DEI SETTE PUNTI

Geometria del piano, cerchio di Brocard, cerchio dei sette punti, primo punto di Brocard, secondo punto di Brocard, parallele di Lemoine, circocentro del triangolo, punto di Lemoine


Legenda:
ABC = Triangolo ABC, O = Circocentro del triangolo, K = Punto di Lemoine, CB = Centro del cerchio di Brocard, OK = Diametro di Brocard, a, b, c = Lati del triangolo, s? = Simmediane del triangolo, o? =Assi dei lati a, b, c, p? = Parallele di Lemoine, ω = ω' = Angolo di Brocard, Ω, Ω' = Punti di Brocard, P(?) = Punti di intesezione: dei segmenti individuati dai vertici del triangolo e i punti di Brocard, delle parallele di Lemoine con il cerchio di Brocard e degli assi dei lati a, b, c con il cerchio di Brocard.

SETTE PUNTI NOTEVOLI DEL CERCHIO DI BROCARD


O = Circocentro del triangolo ABC (Punto di intersezione degli assi dei lati a, b, c)


K = Punto di Lemoine (Punto di intersezione delle simmediane del triangolo)


Ω = Primo punto di Brocard (Primo punto di intersezione dei segmenti che formano con i lati a, b, c l'angolo di Brocard ω)


Ω' = Secondo punto di Brocard (Secondo punto di intersezione dei segmenti che formano con i lati a, b, c l'angolo di Brocard ω')

5°-7°
P(a, b, c) = Punti di intersezione: dei 6 segmenti passanti per i vertici A, B, C del triangolo e punti di Brocard Ω Ω' (segmenti che formano con i lati a, b, c l'angolo di Brocard (ω e ω')); delle 3 parallele di Lemoine con il cerchio di Brocard (parallele ai lati a, b, c passanti per il punto di Lemoine K); degli assi dei lati con il cerchio di Brocard (rette perpendicolari ai lati a, b, c passanti per i punti medi di essi).



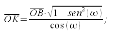
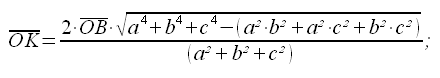
.1. DIAMETRO DEL CERCHIO DI BROCARD (O CERCHIO DEI SETTE PUNTI)
noti: i lati a, b, c del triangolo e il raggio OB della circonferenza circoscritta al triangolo

Geometria del piano, cerchio di Brocard, formula diametro del cerchio di brocard, lati del triangolo, raggio del cerchio circoscritto

: IMMAGINE/APPLET : VERIFICA LE FORMULE : .1. Cerchio di Brocard, Diametro del cerchio dei sette punti
  (ad applet avviato) Punti Mobili → A, B, C

0010615_V32|580|500|IMA=Geometria del piano, cerchio di Brocard, diametro del cerchio dei sette punti




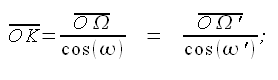
.2. DIAMETRO DEL CERCHIO DI BROCARD (O CERCHIO DEI SETTE PUNTI)
noti: l'angolo di Brocard ω, ω' e il raggio OB della circonferenza circoscritta al triangolo o ppure l'angolo di Brocard ω, ω' e la distanza del circoncetro O dai punti di Brocard (, OΩ'

Geometria del piano, cerchio di Brocard, formula diametro del cerchio di brocard, angolo di Brocard, raggio del cerchio circoscritto


Proprieta': I punti di Brocard, primo punto di Brocard Ω e secondo punto di Brocard Ω', sono equidistanti dal circocentro OOΩ = OΩ' e dal punto di Lemoine KKΩ = KΩ'

Geometria del piano, cerchio di Brocard, formula diametro del cerchio di brocard, angolo di Brocard, distanza del circocentro dai punti di Brocard


: IMMAGINE/APPLET : VERIFICA LE FORMULE : .2. Cerchio di Brocard, Diametro del cerchio dei sette punti
  (ad applet avviato) Punti Mobili → A, B, C

0010615a_V32|580|500|IMA=Geometria del piano, cerchio di Brocard, diametro del cerchio dei sette punti


Made by Formule Development Team





Argomenti correlati e altri percorsi:


Angolo e punti di Brocard
Geometria del piano, angolo e punti di Brocard
(locale-Formule)

Punti notevoli di un triangolo
Geometria del piano, punti notevoli di un triangolo
(locale-Formule)

 

Punto di Lemoine
Geometria del piano, punto di Lemoine

(locale-Formule)

Parallele di Lemoine
Geometria del piano, parallele di Lemoine
(locale-Formule)

 

Relazioni in un triangolo rettangolo
Trigonometria, relazioni in un triangolo rettangolo
(locale-Formule)

Secondo triangolo di Brocard
Geometria del piano, secondo triangolo di Brocard
(locale-Formule)

 

Primo triangolo di Brocard
Geometria del piano, primo triangolo di Brocard
(locale-Formule)

 




  Metti la scheda negli appunti    Click per visualizzare il blocco appunti Visualizza appunti    Click x svuotare blocco appunti Azzera appunti



UTILITY
FormuLe-MATEMATICALC

TROVA FORMULE

UTILITY
FormuLe-FISICALC


TROVA FORMULE

UTILITY
FormuLe-STATISTICALC

UTILITY
Formule-MATFINCALC

UTILITY
Formule-Software download

ARGOMENTI
Matematica

Frattali di Mandelbrot
Benoit Mandelbrot e la Geometria Frattale. Introduzione e immagini.

Statistica e giochi

Lotto e superEnalotto
Una sintetica comparazione statistica e finanziaria dei due giochi.

Ultimo aggiornamento - Last update:  17/11/2025
Privacy and cookies
© www.gobnf.com 2008-2026 - Tutto il materiale contenuto nel sito PUO' essere liberamente usato per scopi personali (studio, creazione di relazioni e tesine etc). Non e' consentito qualsiasi altro tipo di utilizzo o riproduzione. - The entire content of this site may be freely used ONLY for personal purposes (study, creation of reports etc.). It is not allowed any other use or reproduction.