Mappa del sito
Indice degli aggiornamenti  17/11/25
Metti formule tra i preferiti
Contattaci
Segnalaci ad un amico

Formule e argomenti di matematica, fisica e scienze
Albert Einstein: ... la nostra conoscenza, se paragonata alla realta' e' primitiva e infantile. Eppure e' il bene piu' grande che possediamo.
... all our science, measured against reality, is primitive and childlike-and yet it is the most precious thing we have.



Versione stampabile della scheda visualizzata sotto

Seguici in Facebook    Seguici in Pinterest

Matematica : Limiti

Limite di una somma (o differenza)


1) I LIMITI DELLE SINGOLE FUNZIONI → m, n (esistono e sono finiti)
Se esistono e sono finiti i limiti di due funzioni definite in uno stesso intervallo, il limite della somma o differenza delle funzioni e' uguale alla somma o differenza dei loro limiti:


Limiti, operazioni, limite di una somma, limite di una differenza



Teorema della somma o Teorema della differenza
Se f(x) e g(x) sono due funzioni definite in uno stesso intervallo (escluso al piu' il punto c interno all'intervallo) e se esistono e sono finiti i limiti, della f(x) e della g(x) per x → c, allora anche la loro somma (o differenza) ha limite finito e questo limite e' uguale alla somma (o differenza) dei limiti.


Cioe', se:

Limiti, operazioni, limiti finiti delle funzioni

con n e m finiti, allora:

Limiti, operazioni, limite di una somma uguale alla somma dei limiti, limite di una differenza uguale alla diferrenza dei limiti




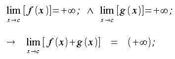
2) I LIMITI DELLE SINGOLE FUNZIONI → +∞, +∞
Il limite della somma e' +infinito quando i limiti delle singole funzioni sono +infinito:

Limiti, operazioni, limiti a +infinito delle funzioni


3) I LIMITI DELLE SINGOLE FUNZIONI → -∞, -∞
Il limite della somma e' -infinito quando i limiti delle singole funzioni sono -infinito:
Limiti, operazioni, limiti a -infinito delle funzioni




4) I LIMITI DELLE SINGOLE FUNZIONI → ±∞, n
Il limite della somma e' + o - infinito quando il limite di una funzione e' + o - infinito e il limite dell'altra e' finito:
Limiti, operazioni, limiti a -infinito e finito delle funzioni




5) I LIMITI DELLE SINGOLE FUNZIONI → ∞, n
Il limite della somma e' infinito quando il limite di una funzione e' infinito e il limite dell'altra e' finito:
Limiti, operazioni, limiti a infinito e finito delle funzioni




6) FORMA INDETERMINATA - I LIMITI DELLE SINGOLE FUNZIONI → +∞, -∞
Non e' possibile dire nulla circa questo limite detto limite in FORMA INDETERMINATA O DI INDECISIONE. E' comunque possibile determinare l'esistenza del limite, e se esiste il suo valore, solo dopo aver effettuato uno studio particolare.
Limiti, operazioni, limiti a +infinito e -finito delle funzioni




7) FORMA INDETERMINATA - I LIMITI DELLE SINGOLE FUNZIONI → -∞, +∞
Non e' possibile dire nulla circa questo limite detto limite in FORMA INDETERMINATA O DI INDECISIONE. E' comunque possibile determinare l'esistenza del limite, e se esiste il suo valore, solo dopo aver effettuato uno studio particolare.
Limiti, operazioni, forma indeterminata + - infinito



Made by Formule Development Team





Argomenti correlati e altri percorsi:


Forma indeterminata +infinito meno infinito
Limiti, forma indeterminata +infinito meno infinito
(locale-Formule)

 




  Metti la scheda negli appunti    Click per visualizzare il blocco appunti Visualizza appunti    Click x svuotare blocco appunti Azzera appunti



UTILITY
FormuLe-MATEMATICALC

TROVA FORMULE

UTILITY
FormuLe-FISICALC


TROVA FORMULE

UTILITY
FormuLe-STATISTICALC

UTILITY
Formule-MATFINCALC

UTILITY
Formule-Software download

ARGOMENTI
Matematica

Frattali di Mandelbrot
Benoit Mandelbrot e la Geometria Frattale. Introduzione e immagini.

Statistica e giochi

Lotto e superEnalotto
Una sintetica comparazione statistica e finanziaria dei due giochi.

Ultimo aggiornamento - Last update:  17/11/2025
Privacy and cookies
© www.gobnf.com 2008-2026 - Tutto il materiale contenuto nel sito PUO' essere liberamente usato per scopi personali (studio, creazione di relazioni e tesine etc). Non e' consentito qualsiasi altro tipo di utilizzo o riproduzione. - The entire content of this site may be freely used ONLY for personal purposes (study, creation of reports etc.). It is not allowed any other use or reproduction.