Mappa del sito
Indice degli aggiornamenti  17/11/25
Metti formule tra i preferiti
Contattaci
Segnalaci ad un amico

Formule e argomenti di matematica, fisica e scienze
Albert Einstein: ... la nostra conoscenza, se paragonata alla realta' e' primitiva e infantile. Eppure e' il bene piu' grande che possediamo.
... all our science, measured against reality, is primitive and childlike-and yet it is the most precious thing we have.



Versione stampabile della scheda visualizzata sotto

Seguici in Facebook    Seguici in Pinterest

Matematica : Calcolo differenziale

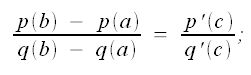
Teorema di Cauchy


Siano date due funzioni p(x) e q(x), tali che:

- sono funzioni continue nell'intervallo [a, b];

- sono derivabili in tutti i punti interni all'intervallo;

- la q'(x) ≠ 0 in ogni punto dell'intervallo;

- [q(b) - q(a)] ≠ 0


Allora:

Esiste ALMENO un punto c interno all'intervallo [a, b] in cui:

   Calcolo differenziale, Teorema di Cauchy





Legenda:
p(x), q(x) = Funzioni continue definite in [a, b], p'(x), q'(x) = Le derivate prime delle funzioni, a,b = Estremi dell'intervallo, p(a), p(b), q(a), q(b) = Valori assunti dalle funzioni negli estremi dell'intervallo, c = Punto calcolato, interno all'intervallo [a,b].


Nell'applet sono rappresentate due funzioni p(x) e q(x) continue in [a,b]: muovento gli estremi dell'intervallo a e/o b e' possibile vedere, i valori che assumono le funzioni negli estremi dell'intervallo e il punto c calcolato (in base all'intervallo, ai valori assunti dalle funzioni negli estremi dell'intervallo stesso e alle derivate prime delle funzioni) che verifica la relazione di Cauchy.


: IMMAGINE/APPLET : VERIFICA LE FORMULE : Teorema di Cauchy
  (ad applet avviato) Punti Mobili → a, b

0010441_V32|580|605|IMA=Calcolo differenziale, teorema di Cauchy


Made by Formule Development Team





Argomenti correlati e altri percorsi:


Teorema di Rolle
Calcolo differenziale, teorema di Rolle

(locale-Formule)

Teorema di Lagrange
Calcolo differenziale, teorema di Lagrange
(locale-Formule)

 




  Metti la scheda negli appunti    Click per visualizzare il blocco appunti Visualizza appunti    Click x svuotare blocco appunti Azzera appunti



UTILITY
FormuLe-MATEMATICALC

TROVA FORMULE

UTILITY
FormuLe-FISICALC


TROVA FORMULE

UTILITY
FormuLe-STATISTICALC

UTILITY
Formule-MATFINCALC

UTILITY
Formule-Software download

ARGOMENTI
Matematica

Frattali di Mandelbrot
Benoit Mandelbrot e la Geometria Frattale. Introduzione e immagini.

Statistica e giochi

Lotto e superEnalotto
Una sintetica comparazione statistica e finanziaria dei due giochi.

Ultimo aggiornamento - Last update:  17/11/2025
Privacy and cookies
© www.gobnf.com 2008-2026 - Tutto il materiale contenuto nel sito PUO' essere liberamente usato per scopi personali (studio, creazione di relazioni e tesine etc). Non e' consentito qualsiasi altro tipo di utilizzo o riproduzione. - The entire content of this site may be freely used ONLY for personal purposes (study, creation of reports etc.). It is not allowed any other use or reproduction.