Matematica : Elementi di algebra
Proporzioni e proprieta'
Una proporzione e' una uguaglianza di due rapporti (rapporto tra numeri o rapporto tra grandezze omogenee)
si scrive:
si legge:
a sta a b come c sta a d.
si dicono:
Termini: a, b, c, d (a:b = c:d);
Estremi: a e d (a:b = c:d);
Medi: b e c (a:b = c:d);
Antecedenti: a e c (a:b = c:d);
Conseguenti: b e d (a:b = c:d).
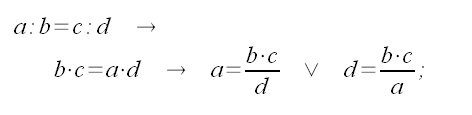
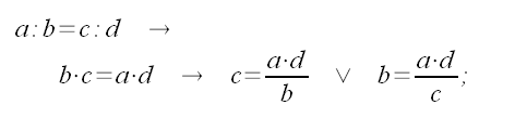
PROPRIETA' FONDAMENTALE
In una proporzione il prodotto dei medi e' UGUALE al prodotto degli estremi
da cui:
♦ Un medio e' UGUALE al prodotto degli estremi diviso l'altro medio
♦ Un estremo e' UGUALE al prodotto dei medi diviso l'altro estremo
Proporzione continua
Una proporzione si chiama proporzione continua o semplicemente continua se i due medi (a:b = b:c) o i due estremi (a:b = c:a) sono uguali.
Quarto proporzionale
Dati tre numeri (a, b, c), si chiama quarto proporzionale quel numero che risulta il quarto termine di una proporzione (d) dopo a, b, c (nell'ordine dato → a:b = c:x).
Teorema dell'unicita' del quarto proporzionale
Dati tre numeri a, b, c esiste un solo numero c che e' quarto proporzionale dei numeri dati.
Terzo proporzionale
Dati due numeri (a, b), si chiama terzo proporzionale quel numero che risulta il quarto termine di una proporzione continua (a:b = b:x): il primo termine (estremo) UGUALE al primo numero (a) e il secondo e terzo termine (medi) uguale al secondo numero (b).
Medio proporzionale
Il medio proprozionale, tra due numeri (a, b) dati, e' quel numero che risulta medio di una proporzione continua (a:x = x:b) avente per estremi i numeri a e b.
PROPRIETA'
In una proporzione (a:b = c:d), se il primo numero (a) e' maggiore, uguale o minore del secondo (b) anche il terzo numero (c) e' maggiore, uguale o minore del quarto (d).
se a>b → c>d; se a=b → c=d; se a<b → c<d;
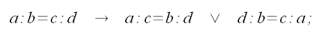
Proprieta' del permutare (o permutando)
In una proporzione si possono cambiare di posto (permutare) i due medi e/o i due estremi.
Proprieta' dell'invertire (o invertendo)
In una proporzione si possono cambiare di posto (permutare) ogni antecedente con il suo conseguente.
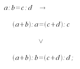
Proprieta' del comporre (o componendo)
In una proporzione la somma dei primi 2 termini sta al primo (o secondo) termine come la somma del terzo e quarto termine sta al terzo (o quarto) termine.
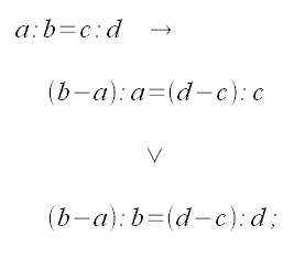
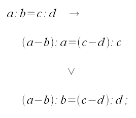
Proprieta' dello scomporre (o scomponendo)
In una proporzione la differenza dei primi 2 termini sta al primo (o secondo) termine come la differenza del terzo e quarto termine sta al terzo (o quarto) termine.
se ogni antecedente e' maggiore del conseguente (a>b → c>d):
se ogni antecedente e' minore del conseguente (a<b → c<d):
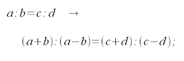
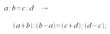
Proprieta' del comporre e dello scomporre (o componendo e scomponendo)
In una proporzione la somma dei primi 2 termini sta alla loro differenza come la somma degli ultimi due termini sta alla loro differenza.
se ogni antecedente e' maggiore del conseguente (a>b → c>d):

se ogni antecedente e' minore del conseguente (a<b → c<d):

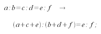
Proprieta' del comporre gli antecedenti e i conseguenti (catena di rapporti)
In una uguaglianza di piu' rapporti (o catena di rapporti), la somma degli antecedenti sta' alla somma dei conseguenti come ogni antecedente sta al proprio conseguente.
