Mappa del sito
Indice degli aggiornamenti  17/11/25
Metti formule tra i preferiti
Contattaci
Segnalaci ad un amico

Formule e argomenti di matematica, fisica e scienze
Albert Einstein: ... la nostra conoscenza, se paragonata alla realta' e' primitiva e infantile. Eppure e' il bene piu' grande che possediamo.
... all our science, measured against reality, is primitive and childlike-and yet it is the most precious thing we have.



Versione stampabile della scheda visualizzata sotto

Seguici in Facebook    Seguici in Pinterest

Matematica : Geometria del piano

Arbelo di Archimede (Trincetto da calzolaio)

L'Arbelo di Archimede (trincetto da calzolaio) e' una figura geometrica piana, delimitata da 3 semicirconferenze individuate dagli estremi del diametro della circonferenza maggiore e da un punto qualsiasi fissato sul diametro.

Legenda:
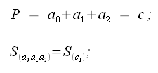
AB = Diametro della circonferenza maggiore, P0 = Punto qualsiasi fissato sul diametro AB, P1 = Punto individuato dalla intersezione della perpendicolare ad AB in P0 con la circonferenza maggiore, a0, a1, a2 = Semicirconferenze di diametro individuato dai punti A,B - A,P0 - B,P0, P = a0+a1+a2 = Perimetro dell'arbelo, S(a0a1a2) = Superficie dell'arbelo, c = Circonferenza maggiore, S(c1)=Superficie del cerchio di diametro P0, P1




Geometria del piano, arbelo di Archimede, figura a forma di trincetto da calzolaio, perimetro, superficie



: IMMAGINE/APPLET : VERIFICA LE FORMULE : Arbelo di Archimede (Trincetto da calzolaio)
  (ad applet avviato) Punti Mobili → P0

0010373_V40|565|520|IMA=Geometria del piano, Arbelo di Archimede (Trincetto da calzolaio)


Made by Formule Development Team





Argomenti correlati e altri percorsi:


Arbelo di Archimede (trincetto da calzolaio)
Costruzioni geometriche → Altro, arbelo di Archimede (trincetto da calzolaio)
(locale-Formule)

L'Arbelo/The Arbelos
Gallery, Animazioni matematiche-Geometria/Mathematical animations-Geometry, L'Arbelo/The Arbelos
(locale-Formule)

 




  Metti la scheda negli appunti    Click per visualizzare il blocco appunti Visualizza appunti    Click x svuotare blocco appunti Azzera appunti



UTILITY
FormuLe-MATEMATICALC

TROVA FORMULE

UTILITY
FormuLe-FISICALC


TROVA FORMULE

UTILITY
FormuLe-STATISTICALC

UTILITY
Formule-MATFINCALC

UTILITY
Formule-Software download

ARGOMENTI
Matematica

Frattali di Mandelbrot
Benoit Mandelbrot e la Geometria Frattale. Introduzione e immagini.

Statistica e giochi

Lotto e superEnalotto
Una sintetica comparazione statistica e finanziaria dei due giochi.

Ultimo aggiornamento - Last update:  17/11/2025
Privacy and cookies
© www.gobnf.com 2008-2026 - Tutto il materiale contenuto nel sito PUO' essere liberamente usato per scopi personali (studio, creazione di relazioni e tesine etc). Non e' consentito qualsiasi altro tipo di utilizzo o riproduzione. - The entire content of this site may be freely used ONLY for personal purposes (study, creation of reports etc.). It is not allowed any other use or reproduction.