Mappa del sito
Indice degli aggiornamenti  17/11/25
Metti formule tra i preferiti
Contattaci
Segnalaci ad un amico

Formule e argomenti di matematica, fisica e scienze
Albert Einstein: ... la nostra conoscenza, se paragonata alla realta' e' primitiva e infantile. Eppure e' il bene piu' grande che possediamo.
... all our science, measured against reality, is primitive and childlike-and yet it is the most precious thing we have.



Versione stampabile della scheda visualizzata sotto

Seguici in Facebook    Seguici in Pinterest

Matematica : Geometria del piano

Salinon di Archimede (Saliera)

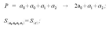
Il Salinon di Archimede (saliera) e' una figura geometrica piana, delimitata da 4 semicirconferenze individuate dagli estremi del diametro della circonferenza maggiore e da due punti fissati sul diametro equidistanti dagli estremi.

Legenda:
AB=Diametro della circonferenza maggiore, P0, P1=Punti fissati sul diametro AB equidistanti dagli estremi, C, C1=Punti individuati dalla intersezione della perpendicolare ad AB (passante per il centro della circonferenza maggiore) con due semicirconferenze, a0, a1, a2=Semicirconferenze di diametro individuato dai punti A,B - A,P0 - B,P1 - P0, P1, P=a0+a0+a1+a2=Perimetro del salinon, S(a0a0a1a2)=Superficie del salinon, S(c)=Superficie del cerchio di diametro C, C1



Geometria del piano, salinon di Archimede, figura a forma di saliera, perimetro, superficie, formule


: IMMAGINE/APPLET : VERIFICA LE FORMULE : Salinon di Archimede (Saliera)
  (ad applet avviato) Punti Mobili → P

0010363_V40|580|590|IMA=Geometria del piano, salinon di Archimede (saliera)


Made by Formule Development Team





Argomenti correlati e altri percorsi:


Salinon di Archimede (saliera)
Costruzioni geometriche → Altro, salinon di Archimede (saliera)
(locale-Formule)

 




  Metti la scheda negli appunti    Click per visualizzare il blocco appunti Visualizza appunti    Click x svuotare blocco appunti Azzera appunti



UTILITY
FormuLe-MATEMATICALC

TROVA FORMULE

UTILITY
FormuLe-FISICALC


TROVA FORMULE

UTILITY
FormuLe-STATISTICALC

UTILITY
Formule-MATFINCALC

UTILITY
Formule-Software download

ARGOMENTI
Matematica

Frattali di Mandelbrot
Benoit Mandelbrot e la Geometria Frattale. Introduzione e immagini.

Statistica e giochi

Lotto e superEnalotto
Una sintetica comparazione statistica e finanziaria dei due giochi.

Ultimo aggiornamento - Last update:  17/11/2025
Privacy and cookies
© www.gobnf.com 2008-2026 - Tutto il materiale contenuto nel sito PUO' essere liberamente usato per scopi personali (studio, creazione di relazioni e tesine etc). Non e' consentito qualsiasi altro tipo di utilizzo o riproduzione. - The entire content of this site may be freely used ONLY for personal purposes (study, creation of reports etc.). It is not allowed any other use or reproduction.