Mappa del sito
Indice degli aggiornamenti  17/11/25
Metti formule tra i preferiti
Contattaci
Segnalaci ad un amico

Formule e argomenti di matematica, fisica e scienze
Albert Einstein: ... la nostra conoscenza, se paragonata alla realta' e' primitiva e infantile. Eppure e' il bene piu' grande che possediamo.
... all our science, measured against reality, is primitive and childlike-and yet it is the most precious thing we have.



Versione stampabile della scheda visualizzata sotto

Seguici in Facebook    Seguici in Pinterest

Matematica : Geometria analitica del piano → Le curve

Cardioide

La cardioide e' una curva appartenente alla famiglia delle spirali sinusoidali. E' una epicicloide in quanto si puo' ottenere dal percorso descritto da un punto fisso su una curva che rotoli (senza slittare o strisciare) su un'altra curva fissa (e precisamente: il percorso descritto da un punto su una circonferenza che rotola intorno ad un'altra circonferenza fissa di uguale raggio) [Animazioni matematiche-Curve, Cardioide, epicicloide  -  (locale-Formule)]. E' chiamata cardioide per la sua forma che ricorda un cuore.

___ EQUAZIONE CARTESIANA PARAMETRICA CARDIOIDE

Geometria analitica del piano, curve, cardioide, equazione parametrica, equazione parametrica cartesiana, coordinate cartesiane

___ EQUAZIONE POLARE CARDIOIDE

Geometria analitica del piano, curve, cardioide, equazione polare, coordinate polari


: IMMAGINE/APPLET : VERIFICA LE FORMULE : Le curve, Cardioide
  (ad applet avviato) Punti Mobili → a, α

0010359_V40|580|550|IMA=Geometria analitica del piano, le curve, cardioide



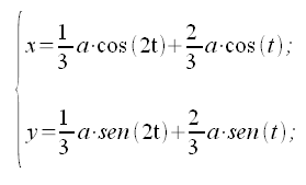
Evoluta della cardioide

L'evoluta della cardioide e' sempre una cardioide di dimenzioni pari ad 1/3 del raggio della circonferenza base.

___ EQUAZIONE CARTESIANA PARAMETRICA EVOLUTA DELLA CARDIOIDE

Geometria analitica del piano, curve, evoluta della cardioide, equazione parametrica evoluta, equazione parametrica cartesiana evoluta, coordinate cartesiane


: IMMAGINE/APPLET : VERIFICA LE FORMULE : Le curve, Evoluta della cardioide
  (ad applet avviato) Punti Mobili → a, α

0010359a_V40|580|550|IMA=Geometria analitica del piano, le curve, evoluta della cardioide


Made by Formule Development Team





Argomenti correlati e altri percorsi:


Ipocicloide ed epicicloide

Geometria analitica del piano → le curve, ipoclicloide ed epicicloide
(locale-Formule)

Cardioide come inviluppo di circonferenze
Geometria analitica del piano → le curve, cardioide come inviluppo di circonferenze
(locale-Formule)

 

Cardioide come inviluppo di circonferenze
Costruzioni geometriche → altro, cardioide come inviluppo di circonferenze

(locale-Formule)

Cardioide/Cardioid

Gallery, Animazioni matematiche-Curve/Mathematical animations-Curves, Cardioide/Cardioid
(locale-Formule)

 

Cardioide, epicicloide/Cardioid, epicycloid

Gallery, Animazioni matematiche-Curve/Mathematical animations-Curves, Cardioide, epicicloide/Cardioid, epicycloid

(locale-Formule)

Cardioide, La podaria di una circonferenza/Cardioid, A pedal of a circle
Gallery, Animazioni matematiche-Curve/Mathematical animations-Curves, cardioide, la podaria di una circonferenza/cardioid, a pedal of a circle
(locale-Formule)

 




  Metti la scheda negli appunti    Click per visualizzare il blocco appunti Visualizza appunti    Click x svuotare blocco appunti Azzera appunti



UTILITY
FormuLe-MATEMATICALC

TROVA FORMULE

UTILITY
FormuLe-FISICALC


TROVA FORMULE

UTILITY
FormuLe-STATISTICALC

UTILITY
Formule-MATFINCALC

UTILITY
Formule-Software download

ARGOMENTI
Matematica

Frattali di Mandelbrot
Benoit Mandelbrot e la Geometria Frattale. Introduzione e immagini.

Statistica e giochi

Lotto e superEnalotto
Una sintetica comparazione statistica e finanziaria dei due giochi.

Ultimo aggiornamento - Last update:  17/11/2025
Privacy and cookies
© www.gobnf.com 2008-2026 - Tutto il materiale contenuto nel sito PUO' essere liberamente usato per scopi personali (studio, creazione di relazioni e tesine etc). Non e' consentito qualsiasi altro tipo di utilizzo o riproduzione. - The entire content of this site may be freely used ONLY for personal purposes (study, creation of reports etc.). It is not allowed any other use or reproduction.