Mappa del sito
Indice degli aggiornamenti  17/11/25
Metti formule tra i preferiti
Contattaci
Segnalaci ad un amico

Formule e argomenti di matematica, fisica e scienze
Albert Einstein: ... la nostra conoscenza, se paragonata alla realta' e' primitiva e infantile. Eppure e' il bene piu' grande che possediamo.
... all our science, measured against reality, is primitive and childlike-and yet it is the most precious thing we have.



Versione stampabile della scheda visualizzata sotto

Seguici in Facebook    Seguici in Pinterest

Matematica : Geometria analitica del piano → Le curve

Concoide di Nicomede (conchiglia)


Concoide di Nicomede come luogo geometrico (costruzione)
La concoide di Nicomede e' descritta dalla rotazione dei punti P e P1, individuati da: un punto O detto polo; un punto C fissato su una retta parallela (distante a) alla retta passante per O; una retta passante per C e O; due segmenti opposti per C di misura k sulla retta per C e O. Le due parti della curva, descritte dal luogo dei punti P e P1, si chiamano rami della concoide e precisamente ramo maggiore e minore (dipendente dalla distanza del punto che la descrive dal polo).


: IMMAGINE/APPLET : COSTRUZIONE : Le curve, Concoide di Nicomede (conchiglia) come luogo geometrico
  (ad applet avviato) Punti Mobili → a, k, C

0010357a_V40|580|415|IMA=Geometria analitica del piano, le curve, concoide di Nicomede (conchiglia) come luogo geometrico



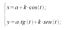
___ EQUAZIONE CARTESIANA PARAMETRICA CONCOIDE DI NICOMEDE

Geometria analitica del piano, curve, concoide, equazione parametrica, equazione parametrica cartesiana, coordinate cartesiane

___ EQUAZIONE POLARE CONCOIDE DI NICOMEDE

Geometria analitica del piano, curve, concoide, equazione polare, coordinate polari


: IMMAGINE/APPLET : VERIFICA LE FORMULE : Le curve, Concoide di Nicomede (conchiglia)
  (ad applet avviato) Punti Mobili → a, k, α

0010357_V40|580|535|IMA=Geometria analitica del piano, le curve, concoide di Nicomede (conchiglia)


Made by Formule Development Team








  Metti la scheda negli appunti    Click per visualizzare il blocco appunti Visualizza appunti    Click x svuotare blocco appunti Azzera appunti



UTILITY
FormuLe-MATEMATICALC

TROVA FORMULE

UTILITY
FormuLe-FISICALC


TROVA FORMULE

UTILITY
FormuLe-STATISTICALC

UTILITY
Formule-MATFINCALC

UTILITY
Formule-Software download

ARGOMENTI
Matematica

Frattali di Mandelbrot
Benoit Mandelbrot e la Geometria Frattale. Introduzione e immagini.

Statistica e giochi

Lotto e superEnalotto
Una sintetica comparazione statistica e finanziaria dei due giochi.

Ultimo aggiornamento - Last update:  17/11/2025
Privacy and cookies
© www.gobnf.com 2008-2026 - Tutto il materiale contenuto nel sito PUO' essere liberamente usato per scopi personali (studio, creazione di relazioni e tesine etc). Non e' consentito qualsiasi altro tipo di utilizzo o riproduzione. - The entire content of this site may be freely used ONLY for personal purposes (study, creation of reports etc.). It is not allowed any other use or reproduction.