Mappa del sito
Indice degli aggiornamenti  17/11/25
Metti formule tra i preferiti
Contattaci
Segnalaci ad un amico

Formule e argomenti di matematica, fisica e scienze
Albert Einstein: ... la nostra conoscenza, se paragonata alla realta' e' primitiva e infantile. Eppure e' il bene piu' grande che possediamo.
... all our science, measured against reality, is primitive and childlike-and yet it is the most precious thing we have.



Versione stampabile della scheda visualizzata sotto

Seguici in Facebook    Seguici in Pinterest

Matematica : Geometria analitica del piano → Metodi di risoluzione dei problemi

Posizione di una retta rispetto ad una circonferenza


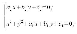
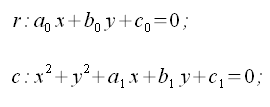
Equazioni della retta r e della circonferenza c:

Geometria del piano, equazioni della retta e della circonferenza

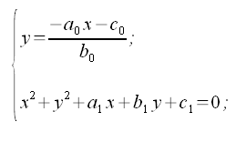
1. Mettiamo a sistema le equazioni r e c (che di seguito chiameremo equazione 1 ed equazione 2):

Geometria del piano, sistema equazioni della retta e circonferenza

2. Cominciamo a risolvere il sistema con il metodo di sostituzione:

2.1 Isoliamo la y nella equazione 1 - lasciando al primo membro la y e portando al secondo membro tutto il resto:
Geometria del piano, sistema, equazioni della retta e circonferenza
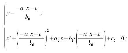
2.2 Sostituiamo alla equazione 2 la y, con la y trovata nella equazione 1 (2.1)

Geometria del piano, sistema, equazioni della retta e circonferenza


e facciamo gli opportuni calcoli e riduzioni.

Ci ritroveremo con l'equazione 2 uguale ad una equazione di secondo grado.

Ricordando che il Δ (o discriminante) di una equazione di secondo grado (equazione 2) e' uguale al secondo coefficiente b (o coefficiente del termine di primo grado) alla seconda meno 4 volte il primo coefficiente a (o coefficiente del termine di secondo grado) per il terzo c (o termine noto):

Geometria del piano, equazione di secondo grado, delta o discriminante di una equazione di secondo grado


Risulta che:

La retta e' SECANTE alla circonferenza, se il Δ dell'equazione 2 e' MAGGIORE di 0 (le soluzioni dell'equazione di secondo grado e quindi del sistema sono reali e distinte (x0, x1 con x0 ≠ x1)).

Geometria del piano, retta secante alla circonferenza



La retta e' TANGENTE alla circonferenza, se il Δ dell'equazione 2 e' UGUALE a 0 (le soluzioni dell'equazione di secondo grado e quindi del sistema sono reali e coincidenti (x0, x1 con x0 = x1 oppure semplicemente detto x contato 2 volte)).

Geometria del piano, retta tangente alla circonferenza



La retta e' ESTERNA alla circonferenza, se il Δ dell'equazione 2 e' MINORE di 0 (le soluzioni dell'equazione di secondo grado e quindi del sistema sono complesse e coniugate (o in quest'ambito si dice che NON AMMETTE SOLUZIONI REALI)).

Geometria del piano, retta esterna alla circonferenza



Made by Formule Development Team





Argomenti correlati e altri percorsi:


Circonferenza
Geometria analitica del piano, circonferenza
(locale-Formule)

Retta
Geometria analitica del piano, retta

(locale-Formule)

 

Posizioni reciproche di una retta ed una circonferenza nello stesso piano
Geometria del piano, posizioni reciproche di una retta ed una circonferenza nello stesso piano
(locale-Formule)

 




  Metti la scheda negli appunti    Click per visualizzare il blocco appunti Visualizza appunti    Click x svuotare blocco appunti Azzera appunti



UTILITY
FormuLe-MATEMATICALC

TROVA FORMULE

UTILITY
FormuLe-FISICALC


TROVA FORMULE

UTILITY
FormuLe-STATISTICALC

UTILITY
Formule-MATFINCALC

UTILITY
Formule-Software download

ARGOMENTI
Matematica

Frattali di Mandelbrot
Benoit Mandelbrot e la Geometria Frattale. Introduzione e immagini.

Statistica e giochi

Lotto e superEnalotto
Una sintetica comparazione statistica e finanziaria dei due giochi.

Ultimo aggiornamento - Last update:  17/11/2025
Privacy and cookies
© www.gobnf.com 2008-2026 - Tutto il materiale contenuto nel sito PUO' essere liberamente usato per scopi personali (studio, creazione di relazioni e tesine etc). Non e' consentito qualsiasi altro tipo di utilizzo o riproduzione. - The entire content of this site may be freely used ONLY for personal purposes (study, creation of reports etc.). It is not allowed any other use or reproduction.