Mappa del sito
Indice degli aggiornamenti  17/11/25
Metti formule tra i preferiti
Contattaci
Segnalaci ad un amico

Formule e argomenti di matematica, fisica e scienze
Albert Einstein: ... la nostra conoscenza, se paragonata alla realta' e' primitiva e infantile. Eppure e' il bene piu' grande che possediamo.
... all our science, measured against reality, is primitive and childlike-and yet it is the most precious thing we have.



Versione stampabile della scheda visualizzata sotto

Seguici in Facebook    Seguici in Pinterest

Matematica : Geometria analitica del piano → Trasf. geometriche

Simmetria centrale

La simmetria centrale di centro O e' una trasformazione del piano che lascia fisso il punto O (detto centro di simmetria) ed associa ad ogni punto P un punto P' tale che il segmento PP' abbia O come punto medio.

Nota: Una rotazione di 180 gradi e' una simmetria centrale.


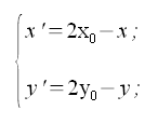
1. SIMMETRIE DI CENTRO O(x0, y0)

Trasformazioni geometriche, equazioni simmetria di centro O(x0, y0)

2. SIMMETRIE DI CENTRO O(0,0) - ORIGINE DEGLI ASSI

Trasformazioni geometriche, equazioni simmetria di centro O(0,0) (origine degli assi)


Legenda:
Pm(PP') = centro di simmetria e punto medio di AA', BB', CC', DD'


: IMMAGINE/APPLET : VERIFICA LE FORMULE : Simmetria centrale
  (ad applet avviato) Punti Mobili → A, B, C, D, Pm(PP')

0010261_V40|580|590|IMA=Geometria analitica del piano, trasf.geometriche, simmetria centrale


Made by Formule Development Team





Argomenti correlati e altri percorsi:


Simmetria centrale
Costruzioni geometriche → Trasformazioni del piano, simmetria centrale
(locale-Formule)

 




  Metti la scheda negli appunti    Click per visualizzare il blocco appunti Visualizza appunti    Click x svuotare blocco appunti Azzera appunti



UTILITY
FormuLe-MATEMATICALC

TROVA FORMULE

UTILITY
FormuLe-FISICALC


TROVA FORMULE

UTILITY
FormuLe-STATISTICALC

UTILITY
Formule-MATFINCALC

UTILITY
Formule-Software download

ARGOMENTI
Matematica

Frattali di Mandelbrot
Benoit Mandelbrot e la Geometria Frattale. Introduzione e immagini.

Statistica e giochi

Lotto e superEnalotto
Una sintetica comparazione statistica e finanziaria dei due giochi.

Ultimo aggiornamento - Last update:  17/11/2025
Privacy and cookies
© www.gobnf.com 2008-2026 - Tutto il materiale contenuto nel sito PUO' essere liberamente usato per scopi personali (studio, creazione di relazioni e tesine etc). Non e' consentito qualsiasi altro tipo di utilizzo o riproduzione. - The entire content of this site may be freely used ONLY for personal purposes (study, creation of reports etc.). It is not allowed any other use or reproduction.