Mappa del sito
Indice degli aggiornamenti  17/11/25
Metti formule tra i preferiti
Contattaci
Segnalaci ad un amico

Formule e argomenti di matematica, fisica e scienze
Albert Einstein: ... la nostra conoscenza, se paragonata alla realta' e' primitiva e infantile. Eppure e' il bene piu' grande che possediamo.
... all our science, measured against reality, is primitive and childlike-and yet it is the most precious thing we have.



Versione stampabile della scheda visualizzata sotto

Seguici in Facebook    Seguici in Pinterest

Matematica : Trigonometria iperbolica

Cotangente iperbolica


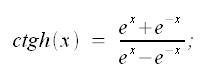
: FUNZIONE COTANGENTE IPERBOLICA :



Trigonometria iperbolica, cotangente iperbolica, funzione cotangente iperbolica



: GRAFICO :

Trigonometria iperbolica, cotangente iperbolica, grafico della funzione cotangente iperbolica





: IMMAGINE/APPLET : VERIFICA LE FORMULE : Cotangente iperbolica
  (ad applet avviato) Punti Mobili → P

0010251_V40|550|680|IMA=Trigonometria iperbolica, cotangente iperbolica


Made by Formule Development Team





Argomenti correlati e altri percorsi:


Definizione
Trigonometria iperbolica, definizione

(locale-Formule)

Settore cotangente iperbolica
Trigonometria iperbolica, settore cotangente iperbolica
(locale-Formule)
 




  Metti la scheda negli appunti    Click per visualizzare il blocco appunti Visualizza appunti    Click x svuotare blocco appunti Azzera appunti



UTILITY
FormuLe-MATEMATICALC

TROVA FORMULE

UTILITY
FormuLe-FISICALC


TROVA FORMULE

UTILITY
FormuLe-STATISTICALC

UTILITY
Formule-MATFINCALC

UTILITY
Formule-Software download

ARGOMENTI
Matematica

Frattali di Mandelbrot
Benoit Mandelbrot e la Geometria Frattale. Introduzione e immagini.

Statistica e giochi

Lotto e superEnalotto
Una sintetica comparazione statistica e finanziaria dei due giochi.

Ultimo aggiornamento - Last update:  17/11/2025
Privacy and cookies
© www.gobnf.com 2008-2026 - Tutto il materiale contenuto nel sito PUO' essere liberamente usato per scopi personali (studio, creazione di relazioni e tesine etc). Non e' consentito qualsiasi altro tipo di utilizzo o riproduzione. - The entire content of this site may be freely used ONLY for personal purposes (study, creation of reports etc.). It is not allowed any other use or reproduction.