Mappa del sito
Indice degli aggiornamenti  17/11/25
Metti formule tra i preferiti
Contattaci
Segnalaci ad un amico

Formule e argomenti di matematica, fisica e scienze
Albert Einstein: ... la nostra conoscenza, se paragonata alla realta' e' primitiva e infantile. Eppure e' il bene piu' grande che possediamo.
... all our science, measured against reality, is primitive and childlike-and yet it is the most precious thing we have.



Versione stampabile della scheda visualizzata sotto

Seguici in Facebook    Seguici in Pinterest

Matematica : Geometria del piano

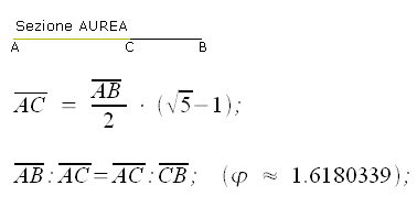
Sezione Aurea di un segmento

Per trovare la sezione aurea di un segmento o dividere un segmento in media ed estrema ragione si intende dividere il segmento in 2 parti, tali che la parte maggiore sia media proporzionale fra l'intero segmento e la parte minore (l'intero segmento sta' alla parte maggiore come la parte maggiore del segmento sta' alla parte minore -> AB:AC = AC:CB).
La parte maggiore si chiama parte aurea o sezione aurea del segmento AB.

Legenda:
AB=Segmento, AC=Sezione aurea, parte aurea di AB, φ = 1.6180339... = Numero aureo o costante di Fidia

Sezione Aurea di un segmento, Sezione Aurea, Parte Aurea, Numero Aureo

: IMMAGINE/APPLET : VERIFICA LE FORMULE : Sezione Aurea di un segmento
  (ad applet avviato) Punti Mobili → B

0010145_V40|580|320|IMA=Geometria del piano, Sezione Aurea di un segmento


Made by Formule Development Team





Argomenti correlati e altri percorsi:


Sezione aurea di un segmento
Costruzioni geometriche, sezione aurea di un segmento
(locale-Formule)

Rettangolo aureo
Costruzioni geometriche, rettangolo aureo

(locale-Formule)

 

Triangolo aureo
Costruzioni geometriche, Triangolo aureo

(locale-Formule)

Spirale aurea
Costruzioni geometriche → Altro, spirale aurea
(locale-Formule)

 

Triangolo aureo

Geometria del piano, triangolo aureo

(locale-Formule)

Misura del raggio del cerchio inscritto in un triangolo aureo
Geometria del piano, misura del raggio del cerchio inscritto in un triangolo aureo
(locale-Formule)

 

Misura del raggio del cerchio circoscritto ad un triangolo aureo
Geometria del piano, misura del raggio del cerchio circoscritto ad un triangolo aureo
(locale-Formule)

Phi (Il numero aureo)


Gallery, Animazioni matematiche-Geometria, Phi (Il numero aureo)
(locale-Formule)

 




  Metti la scheda negli appunti    Click per visualizzare il blocco appunti Visualizza appunti    Click x svuotare blocco appunti Azzera appunti



UTILITY
FormuLe-MATEMATICALC

TROVA FORMULE

UTILITY
FormuLe-FISICALC


TROVA FORMULE

UTILITY
FormuLe-STATISTICALC

UTILITY
Formule-MATFINCALC

UTILITY
Formule-Software download

ARGOMENTI
Matematica

Frattali di Mandelbrot
Benoit Mandelbrot e la Geometria Frattale. Introduzione e immagini.

Statistica e giochi

Lotto e superEnalotto
Una sintetica comparazione statistica e finanziaria dei due giochi.

Ultimo aggiornamento - Last update:  17/11/2025
Privacy and cookies
© www.gobnf.com 2008-2026 - Tutto il materiale contenuto nel sito PUO' essere liberamente usato per scopi personali (studio, creazione di relazioni e tesine etc). Non e' consentito qualsiasi altro tipo di utilizzo o riproduzione. - The entire content of this site may be freely used ONLY for personal purposes (study, creation of reports etc.). It is not allowed any other use or reproduction.