Mappa del sito
Indice degli aggiornamenti  17/11/25
Metti formule tra i preferiti
Contattaci
Segnalaci ad un amico

Formule e argomenti di matematica, fisica e scienze
Albert Einstein: ... la nostra conoscenza, se paragonata alla realta' e' primitiva e infantile. Eppure e' il bene piu' grande che possediamo.
... all our science, measured against reality, is primitive and childlike-and yet it is the most precious thing we have.



Versione stampabile della scheda visualizzata sotto

Seguici in Facebook    Seguici in Pinterest

Matematica : Geometria solida

Il cubo (o esaedro regolare)

Poliedro regolare (o poliedro platonico) con 6 quadrati come facce, 8 vertici, 12 spigoli, 8 angoloidi triedri.

Legenda:
SL=Superficie laterale, ST=Superficie totale, l=Spigolo, d=Diagonale, V=Volume


Geometria solida, il cubo, formule



SE NON HAI TROVATO LA FORMULA, PROVA A CERCARLA CON IL TROVAFORMULe
Usa il quadro comandi, seleziona il solido, scegli cio' che devi trovare, descrivi cio' che conosci, se il motore e' in grado di farlo, ti dara' la dritta giusta ;)


MATEMATICALC, CUBO
(locale-Formule)  MatematiCalc, Trovaformule, Geometria Solida 1.0




Poliedro regolare inscritto/circoscritto in/ad una sfera

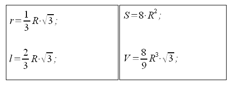
♦ Raggio della sfera inscritta, spigolo, superficie e volume del cubo (o esaedro) in funzione del raggio della circonferenza circoscritta (R).

Legenda:
r=Raggio della sfera inscritta, R=Raggio della sfera circoscritta, S=Superficie totale, V=Volume, l=Spigolo


Geometria solida, cubo inscritto in una sfera, cubo circoscritto ad una sfera, formule



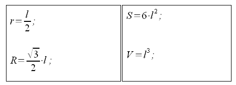
♦ Raggio della sfera inscritta, raggio della sfera circoscritta, superficie e volume del cubo (o esaedro) in funzione dello spigolo (l).

Legenda:
r=Raggio della sfera inscritta, R=Raggio della sfera circoscritta, S=Superficie totale, V=Volume, l=Spigolo


Geometria solida, cubo inscritto in una sfera, cubo circoscritto ad una sfera, formule


Made by Formule Development Team




Argomenti correlati e altri percorsi:


Definizione ed elementi dei poliedro
Geometria solida, definizione ed elementi dei poliedri
(locale-Formule)

Sviluppo dei poliedri regolari
Geometria solida, sviluppo dei poliedri regolari
(locale-Formule)

 

Esaedro (cubo)
Geometria nello spazio, solidi, esaedro (cubo)
(locale-Formule)

 




  Metti la scheda negli appunti    Click per visualizzare il blocco appunti Visualizza appunti    Click x svuotare blocco appunti Azzera appunti



UTILITY
FormuLe-MATEMATICALC

TROVA FORMULE

UTILITY
FormuLe-FISICALC


TROVA FORMULE

UTILITY
FormuLe-STATISTICALC

UTILITY
Formule-MATFINCALC

UTILITY
Formule-Software download

ARGOMENTI
Matematica

Frattali di Mandelbrot
Benoit Mandelbrot e la Geometria Frattale. Introduzione e immagini.

Statistica e giochi

Lotto e superEnalotto
Una sintetica comparazione statistica e finanziaria dei due giochi.

Ultimo aggiornamento - Last update:  17/11/2025
Privacy and cookies
© www.gobnf.com 2008-2026 - Tutto il materiale contenuto nel sito PUO' essere liberamente usato per scopi personali (studio, creazione di relazioni e tesine etc). Non e' consentito qualsiasi altro tipo di utilizzo o riproduzione. - The entire content of this site may be freely used ONLY for personal purposes (study, creation of reports etc.). It is not allowed any other use or reproduction.