Mappa del sito
Indice degli aggiornamenti  17/11/25
Metti formule tra i preferiti
Contattaci
Segnalaci ad un amico

Formule e argomenti di matematica, fisica e scienze
Albert Einstein: ... la nostra conoscenza, se paragonata alla realta' e' primitiva e infantile. Eppure e' il bene piu' grande che possediamo.
... all our science, measured against reality, is primitive and childlike-and yet it is the most precious thing we have.



Versione stampabile della scheda visualizzata sotto

Seguici in Facebook    Seguici in Pinterest

Matematica : Elementi di algebra

Logaritmi

Si dice logaritmo di b in base a (con a > 0 e diverso da 1 e b > 0), il numero x a cui si deve elevare a per ottenere b


Elementi di algebra, notazione dei logaritmi, base, argomento

(a e' la Base del logaritmo e b l'Argomento del logaritmo)


: IMMAGINE/APPLET : Funzione logaritmo y = Logb(x)
  (ad applet avviato) Punti Mobili → Log?(x)

0010050_V40|570|450|IMA=Elementi di algebra, Logaritmi, Immagine funzione logaritmo



Simboli:

Logaritmi Natutali o Neperiani, Base=e

Elementi di algebra, Simboli, logaritmi naturali, logaritmi neperiani, base e

Logaritmi decimali o Volgari o di Briggs, Base=10

Elementi di algebra, Simboli, logaritmi decimali, logaritmi volgari, logaritmi di Briggs, base 10

Logaritmi binari, Base=2

Elementi di algebra, Simboli, logaritmi binari, base 2


Proprieta dei logaritmi:

· Il logaritmo di un prodotto

Elementi di algebra, logaritmi, proprieta dei logaritmi, Il logaritmo di un prodotto

· Il logaritmo di un quoziente

Elementi di algebra, logaritmi, proprieta dei logaritmi, logaritmo di un quoziente

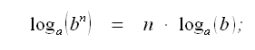
· Il logaritmo di una potenza

Elementi di algebra, logaritmi, proprieta dei logaritmi, logaritmo di una potenza

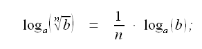
· Il logaritmo di un radice

Elementi di algebra, logaritmi, proprieta dei logaritmi, logaritmo di un radice

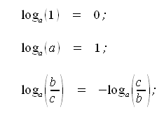
· inoltre ...

Elementi di algebra, logaritmi, proprieta dei logaritmi, altro

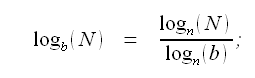
· Cambiamento della base di un logaritmo

Elementi di algebra, logaritmi, proprieta dei logaritmi, cambiamento della base del logaritmo



Made by Formule Development Team








  Metti la scheda negli appunti    Click per visualizzare il blocco appunti Visualizza appunti    Click x svuotare blocco appunti Azzera appunti



UTILITY
FormuLe-MATEMATICALC

TROVA FORMULE

UTILITY
FormuLe-FISICALC


TROVA FORMULE

UTILITY
FormuLe-STATISTICALC

UTILITY
Formule-MATFINCALC

UTILITY
Formule-Software download

ARGOMENTI
Matematica

Frattali di Mandelbrot
Benoit Mandelbrot e la Geometria Frattale. Introduzione e immagini.

Statistica e giochi

Lotto e superEnalotto
Una sintetica comparazione statistica e finanziaria dei due giochi.

Ultimo aggiornamento - Last update:  17/11/2025
Privacy and cookies
© www.gobnf.com 2008-2026 - Tutto il materiale contenuto nel sito PUO' essere liberamente usato per scopi personali (studio, creazione di relazioni e tesine etc). Non e' consentito qualsiasi altro tipo di utilizzo o riproduzione. - The entire content of this site may be freely used ONLY for personal purposes (study, creation of reports etc.). It is not allowed any other use or reproduction.