Mappa del sito
Indice degli aggiornamenti  17/11/25
Metti formule tra i preferiti
Contattaci
Segnalaci ad un amico

Formule e argomenti di matematica, fisica e scienze
Albert Einstein: ... la nostra conoscenza, se paragonata alla realta' e' primitiva e infantile. Eppure e' il bene piu' grande che possediamo.
... all our science, measured against reality, is primitive and childlike-and yet it is the most precious thing we have.



Versione stampabile della scheda visualizzata sotto

Seguici in Facebook    Seguici in Pinterest

Matematica : Calcolo differenziale

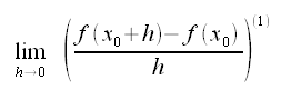
Definizione di derivata

La derivata di una funzione y = f(x) nel punto x0:
Il limite, se esiste ed e' finito, del rapporto incrementale (1) al tendere a 0 dell'incremento h.

Derivata, rapporto incrementale

: IMMAGINE/APPLET : Derivata, Limite del rapporto incrementale
  (ad applet avviato) Punti Mobili → h

0010039_V40|596|550|IMA=Calcolo differenziale, Definizione di derivata, Limite del rapporto incrementale



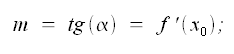
Significato geometrico

Il valore della derivata f'(x), in un dato punto x0, e' uguale al coefficiente angolare m della tangente alla curva y = f(x), nel punto P[x0, f(x0)].

Derivata, coefficiente angolare, significato geometrico

: IMMAGINE/APPLET : Derivata, Significato geometrico
  (ad applet avviato) Punti Mobili → x0

0010039b_V40|596|520|IMA=Calcolo differenziale, Derivata, Significato geometrico



Made by Formule Development Team





Argomenti correlati e altri percorsi:


Derivate fondamentali
Calcolo differenziale, derivate fondamentali
(locale-Formule)

Regole di derivazione
Calcolo differenziale, regole di derivazione
(locale-Formule)

 




  Metti la scheda negli appunti    Click per visualizzare il blocco appunti Visualizza appunti    Click x svuotare blocco appunti Azzera appunti



UTILITY
FormuLe-MATEMATICALC

TROVA FORMULE

UTILITY
FormuLe-FISICALC


TROVA FORMULE

UTILITY
FormuLe-STATISTICALC

UTILITY
Formule-MATFINCALC

UTILITY
Formule-Software download

ARGOMENTI
Matematica

Frattali di Mandelbrot
Benoit Mandelbrot e la Geometria Frattale. Introduzione e immagini.

Statistica e giochi

Lotto e superEnalotto
Una sintetica comparazione statistica e finanziaria dei due giochi.

Ultimo aggiornamento - Last update:  17/11/2025
Privacy and cookies
© www.gobnf.com 2008-2026 - Tutto il materiale contenuto nel sito PUO' essere liberamente usato per scopi personali (studio, creazione di relazioni e tesine etc). Non e' consentito qualsiasi altro tipo di utilizzo o riproduzione. - The entire content of this site may be freely used ONLY for personal purposes (study, creation of reports etc.). It is not allowed any other use or reproduction.