Mappa del sito
Indice degli aggiornamenti  17/11/25
Metti formule tra i preferiti
Contattaci
Segnalaci ad un amico

Formule e argomenti di matematica, fisica e scienze
Albert Einstein: ... la nostra conoscenza, se paragonata alla realta' e' primitiva e infantile. Eppure e' il bene piu' grande che possediamo.
... all our science, measured against reality, is primitive and childlike-and yet it is the most precious thing we have.



Versione stampabile della scheda visualizzata sotto

Seguici in Facebook    Seguici in Pinterest

Mathematics : Integral calculus

Basic indefinite integrals



INTEGRALS OF MISCELLANEOUS FUNCTIONS

Integral calculus, Basic indefinite integrals, miscellaneous functions, integrals of miscellaneous functions, functions I ...
Integral calculus, basic indefinite integrals, miscellaneous functions, integrals of miscellaneous functions, functions II ...


INTEGRALS OF EXPONENCIAL FUNCTIONS (b = costant, b ≠ 0)

Integral calculus, basic indefinite integrals, integrals exponencial functions


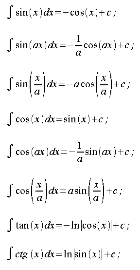
INTEGRALS OF TRIGONOMETRIC FUNCTIONS (a = costant, a ≠ 0)

Integral calculus, basic indefinite integrals, trigonometric functions, integral of circular functions, integrals of trigonometric functions, integral of sine, integral of cosine, integral of tangent ...
Integral calculus, basic indefinite integrals, trigonometric functions, integrals of circular functions, integrals of trigonometric functions, integral of sine, integral of cosine, integral of tangent ...


INTEGRALS OF HYPERBOLIC FUNCTIONS

Integral calculus, basic indefinite integral, integrals of hyperbolic functions, integral of hyperbolic sine, integral of hyperbolic cosine, integral of hyperbolic tangent ...

Made by Formule Development Team








  Metti la scheda negli appunti    Click per visualizzare il blocco appunti Visualizza appunti    Click x svuotare blocco appunti Azzera appunti



UTILITY
FormuLe-MATEMATICALC

TROVA FORMULE

UTILITY
FormuLe-FISICALC


TROVA FORMULE

UTILITY
FormuLe-STATISTICALC

UTILITY
Formule-MATFINCALC

UTILITY
Formule-Software download

ARGOMENTI
Matematica

Frattali di Mandelbrot
Benoit Mandelbrot e la Geometria Frattale. Introduzione e immagini.

Statistica e giochi

Lotto e superEnalotto
Una sintetica comparazione statistica e finanziaria dei due giochi.

Ultimo aggiornamento - Last update:  17/11/2025
Privacy and cookies
© www.gobnf.com 2008-2026 - Tutto il materiale contenuto nel sito PUO' essere liberamente usato per scopi personali (studio, creazione di relazioni e tesine etc). Non e' consentito qualsiasi altro tipo di utilizzo o riproduzione. - The entire content of this site may be freely used ONLY for personal purposes (study, creation of reports etc.). It is not allowed any other use or reproduction.