Mappa del sito
Indice degli aggiornamenti  17/11/25
Metti formule tra i preferiti
Contattaci
Segnalaci ad un amico

Formule e argomenti di matematica, fisica e scienze
Albert Einstein: ... la nostra conoscenza, se paragonata alla realta' e' primitiva e infantile. Eppure e' il bene piu' grande che possediamo.
... all our science, measured against reality, is primitive and childlike-and yet it is the most precious thing we have.



Versione stampabile della scheda visualizzata sotto

Seguici in Facebook    Seguici in Pinterest

Matematica finanziaria: Mutui ed Ammortamenti

Piano di ammortamento francese


Introduzione
In questa pagina viene definito teoricamente il "Piano di ammortamento francese". In Calcolo rata di un mutuo e piano di ammortamento viene proposta una pagina interattiva per lo sviluppo del piano. Impostando i parametri, esso viene sviluppato e puo' essere anche stampato.


Piano di ammortamento francese

(per le grandezze di cui si parla in questa pagina vedere Definizione di mutui ed ammortamenti).

Questo tipo di ammortamento (presupposto un tasso fisso), prevede una rata costante.
Questo fatto, semplificando la compilazione e rendendo piu' "leggibile" tutto il piano di rimborso, ne giustifica la diffusione e l'uso.

Lo sviluppo parte da questi presupposti:

1) La rata e' fissa ed e' composta da una parte di capitale (quota capitale) e una parte di interesse (quota interessi);
2) Alla scadenza, la somma delle quote capitale pagate dovranno corrispondere al Capitale iniziale prestato;
3) Ad ogni pagamento, la parte interesse sara' uguale agli interessi (sul capitale ancora da restituire) dovuti per il periodo relativo alla rata.

Un esempio per chiarire meglio.

Piano di ammortamento di un Capitale di 100.000 Euro, al tasso annuo del 5%, con 24 rate mensili (durata 2 anni).

Questa la situazione al momento della erogazione del prestito...
Anno Rata Quota interesse Quota capitale C.Residuo
---- ----     100.000,00


Per proseguire, ci serve l'ammontare della rata fissa.
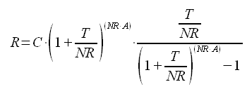
Esiste una formula apposita che in base alle altre grandezze, calcola il valore della rata.

Matematica finanziaria, Piano di ammortamento alla francese, formula per il calcolo del valore della rata

Dove:
R=Importo rata;
C=Capitale;
T=Tasso annuo (espresso in decimale Es.: 5% → 0,05);
NR=Numero rate annuali;
A=Durata in anni.

(Anche in questo caso usando il tool alla pagina Calcolo rata di un mutuo e piano di ammortamento che, dati i parametri necessari calcola l'importo della rata).

Nel nostro caso la rata e' di: 4.387,14

A questo punto compiliamo la riga del primo pagamento.

La rata e' composta dalla quota capitale e dalla quota interesse.

Essendo il capitale ancora quello iniziale (non abbiamo restituito nulla), l'interesse si applica all'intero capitale.

Il tasso e' il tasso annuo (espresso in decimale) diviso 12 (la rateazione e' mensile) quindi 0,05 / 12 = 0,00417 che e' il tasso di periodo.

Quindi la
Quota interessi e' = Capitale residuo (l'intero capitale) * Tasso di periodo
Quota_interessi = 100.000 * 0,00417 = 416,67

Quanto capitale restituiamo ?

La rata e' fissa, quindi,
Quota capitale = Importo rata - Quota interessi
Quota_capitale = 4.387,14 - 416,67 = 3.970,47

Per completare il quadro, calcoliamo quanto capitale ci rimane da pagare (RESIDUO) dopo la 1a rata.

Capitale residuo = Capitale (iniziale) - Quota capitale
Capitale residuo = 100.000 - 3.970,47 = 96.029,53

La situazione dopo la prima rata...
Anno Rata Quota interesse Quota capitale C.Residuo
---- ----     100.000,00
1 1 416,67 3.970,47 96.029,53


Per la seconda rata (e le successive) il calcolo non cambia, ma, essendo diminuito il Capitale residuo, diminuisce la q.i. ed aumenta la q.c.
La seconda rata....

Quota interessi = Capitale residuo * Tasso di periodo
→ 96.029,53 * 0,00417 = 400,12

Quota capitale = Importo rata - Quota interessi
→ 4.387,14 - 400,12 = 3.987,02

Capitale residuo = Capitale residuo - Quota capitale
→ 96.029,53 - 3.987,02 = 92.042,51

E cosi' via fino alla 24 rata...

Capitale:100.000,00
Tasso annuo:0,05
Rate annue :12
Durata anni :2
Anno Rata Quota interesse Quota capitale C.Residuo
---- ----     100.000,00
1 1 416,67 3.970,47 96.029,53
1 2 400,12 3.987,02 92.042,51
1 3 383,51 4.003,63 88.038,88
1 4 366,83 4.020,31 84.018,57
1 5 350,08 4.037,06 79.981,51
1 6 333,26 4.053,88 75.927,63
1 7 316,37 4.070,77 71.856,85
1 8 299,40 4.087,74 67.769,12
1 9 282,37 4.104,77 63.664,35
1 10 265,27 4.121,87 59.542,48
1 11 248,09 4.139,05 55.403,44
1 12 230,85 4.156,29 51.247,14
2 13 213,53 4.173,61 47.073,54
2 14 196,14 4.191,00 42.882,54
2 15 178,68 4.208,46 38.674,07
2 16 161,14 4.226,00 34.448,08
2 17 143,53 4.243,61 30.204,47
2 18 125,85 4.261,29 25.943,18
2 19 108,10 4.279,04 21.664,14
2 20 90,27 4.296,87 17.367,27
2 21 72,36 4.314,78 13.052,50
2 22 54,39 4.332,75 8.719,74
2 23 36,33 4.350,81 4.368,94
2 24 18,20 4.368,94 0,00



Made by Formule Development Team





Argomenti correlati e altri percorsi:


Definizione di Mutui ed Ammortamenti
Matematica finanziaria: Mutui ed Ammortamenti, definizione di mutui ed ammortamenti
(locale-Formule)

 




  Metti la scheda negli appunti    Click per visualizzare il blocco appunti Visualizza appunti    Click x svuotare blocco appunti Azzera appunti



UTILITY
FormuLe-MATEMATICALC

TROVA FORMULE

UTILITY
FormuLe-FISICALC


TROVA FORMULE

UTILITY
FormuLe-STATISTICALC

UTILITY
Formule-MATFINCALC

UTILITY
Formule-Software download

ARGOMENTI
Matematica

Frattali di Mandelbrot
Benoit Mandelbrot e la Geometria Frattale. Introduzione e immagini.

Statistica e giochi

Lotto e superEnalotto
Una sintetica comparazione statistica e finanziaria dei due giochi.

Ultimo aggiornamento - Last update:  17/11/2025
Privacy and cookies
© www.gobnf.com 2008-2026 - Tutto il materiale contenuto nel sito PUO' essere liberamente usato per scopi personali (studio, creazione di relazioni e tesine etc). Non e' consentito qualsiasi altro tipo di utilizzo o riproduzione. - The entire content of this site may be freely used ONLY for personal purposes (study, creation of reports etc.). It is not allowed any other use or reproduction.