Mappa del sito
Indice degli aggiornamenti  17/11/25
Metti formule tra i preferiti
Contattaci
Segnalaci ad un amico

Formule e argomenti di matematica, fisica e scienze
Albert Einstein: ... la nostra conoscenza, se paragonata alla realta' e' primitiva e infantile. Eppure e' il bene piu' grande che possediamo.
... all our science, measured against reality, is primitive and childlike-and yet it is the most precious thing we have.



Versione stampabile della scheda visualizzata sotto

Seguici in Facebook    Seguici in Pinterest

Matematica : Numeri complessi

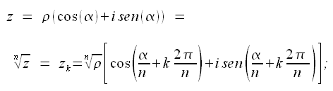
Radice n-esima dei numeri complessi in forma trigonometrica


Un numero complesso (non nullo), in forma trigonometrica, ammette n e solo n radici n-esime (con n in Z). Le n radici n-esime di un numero complesso sono date, attribuendo a k (successivamente) 0, 1, 2, ..., n-1 (k = [0; n-1]), dalla formula:
Numeri complessi, n radici n-esime del numero complesso, numeri complessi in forma trigonometrica



Made by Formule Development Team





Argomenti correlati e altri percorsi:


Unita' immaginaria

Numeri complessi, unita' immaginaria
(locale-Formule)

Definizione di numero complesso
Numeri complessi, definizione di numero complesso
(locale-Formule)

 

Piano complesso (o di Gauss)
Numeri complessi, piano complesso (o di Gauss)
(locale-Formule)

Forme del numero complesso
Numeri complessi, Forme del numero complesso
(locale-Formule)

 

Operazioni sui numeri complessi in forma algebrica
Numeri complessi, operazioni sui numeri complessi in forma algebrica
(locale-Formule)

Operazioni sui numeri complessi in forma trigonometrica
Numeri complessi, operazioni sui numeri complessi in forma trigonometrica
(locale-Formule)

 

Reciproco dei numeri complessi in forma trigonometrica
Numeri complessi, Reciproco dei numeri complessi in forma trigonometrica
(locale-Formule)

Potenza dei numeri complessi in forma trigonometrica
Numeri complessi, potenza dei numeri complessi in forma trigonometrica
(locale-Formule)

 




  Metti la scheda negli appunti    Click per visualizzare il blocco appunti Visualizza appunti    Click x svuotare blocco appunti Azzera appunti



UTILITY
FormuLe-MATEMATICALC

TROVA FORMULE

UTILITY
FormuLe-FISICALC


TROVA FORMULE

UTILITY
FormuLe-STATISTICALC

UTILITY
Formule-MATFINCALC

UTILITY
Formule-Software download

ARGOMENTI
Matematica

Frattali di Mandelbrot
Benoit Mandelbrot e la Geometria Frattale. Introduzione e immagini.

Statistica e giochi

Lotto e superEnalotto
Una sintetica comparazione statistica e finanziaria dei due giochi.

Ultimo aggiornamento - Last update:  17/11/2025
Privacy and cookies
© www.gobnf.com 2008-2026 - Tutto il materiale contenuto nel sito PUO' essere liberamente usato per scopi personali (studio, creazione di relazioni e tesine etc). Non e' consentito qualsiasi altro tipo di utilizzo o riproduzione. - The entire content of this site may be freely used ONLY for personal purposes (study, creation of reports etc.). It is not allowed any other use or reproduction.