Mappa del sito
Indice degli aggiornamenti  17/11/25
Metti formule tra i preferiti
Contattaci
Segnalaci ad un amico

Formule e argomenti di matematica, fisica e scienze
Albert Einstein: ... la nostra conoscenza, se paragonata alla realta' e' primitiva e infantile. Eppure e' il bene piu' grande che possediamo.
... all our science, measured against reality, is primitive and childlike-and yet it is the most precious thing we have.



Versione stampabile della scheda visualizzata sotto

Seguici in Facebook    Seguici in Pinterest

Matematica : Progressioni numeriche

Medi geometrici fra due numeri

Ci proponiamo, dati due numeri a e b (con a, b ≠ 0), di trovare k medi geometrici cioe' di trovare k numeri (x1, x2, x3, ..., xk) tali da formare, con a e b, una progressione geometrica di k + 2 termini (÷÷ a, x1, x2, x3, ..., xk, b).

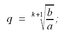
1. Utilizziamo la formula per trovare la ragione q di una progressione geometrica (con n = k + 2):

Progressioni numeriche, progressioni geometriche, ragione


Se k e' dispari → k+1 e' pari e b/a > 0:
                       le soluzioni/progressioni cercate saranno 2 (±q)
.
Se k e' dispari → k+1 e' pari e b/a < 0:
                       nessuna soluzione/progressione
.


2. Trovata la ragione q (se possibile dalla 1.), i k medi geometrici cercati (fra a e b) sono:

    x1 = a · (±q)

    x2 = x1 · (±q)

    x3 = x2 · (±q)

    ...

    xk = x(k-1) · (±q)



Made by Formule Development Team





Argomenti correlati e altri percorsi:


Progressioni geometriche
Progressioni numeriche, progressioni geometriche
(locale-Formule)

 




  Metti la scheda negli appunti    Click per visualizzare il blocco appunti Visualizza appunti    Click x svuotare blocco appunti Azzera appunti



UTILITY
FormuLe-MATEMATICALC

TROVA FORMULE

UTILITY
FormuLe-FISICALC


TROVA FORMULE

UTILITY
FormuLe-STATISTICALC

UTILITY
Formule-MATFINCALC

UTILITY
Formule-Software download

ARGOMENTI
Matematica

Frattali di Mandelbrot
Benoit Mandelbrot e la Geometria Frattale. Introduzione e immagini.

Statistica e giochi

Lotto e superEnalotto
Una sintetica comparazione statistica e finanziaria dei due giochi.

Ultimo aggiornamento - Last update:  17/11/2025
Privacy and cookies
© www.gobnf.com 2008-2026 - Tutto il materiale contenuto nel sito PUO' essere liberamente usato per scopi personali (studio, creazione di relazioni e tesine etc). Non e' consentito qualsiasi altro tipo di utilizzo o riproduzione. - The entire content of this site may be freely used ONLY for personal purposes (study, creation of reports etc.). It is not allowed any other use or reproduction.