Mappa del sito
Indice degli aggiornamenti  17/11/25
Metti formule tra i preferiti
Contattaci
Segnalaci ad un amico

Formule e argomenti di matematica, fisica e scienze
Albert Einstein: ... la nostra conoscenza, se paragonata alla realta' e' primitiva e infantile. Eppure e' il bene piu' grande che possediamo.
... all our science, measured against reality, is primitive and childlike-and yet it is the most precious thing we have.



Versione stampabile della scheda visualizzata sotto

Seguici in Facebook    Seguici in Pinterest

Matematica : Geometria analitica del piano → Le curve

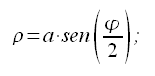
Folium di Dures



___ EQUAZIONE POLARE FOLIUM DI DURES

Geometria analitica del piano, curve, folium di Dures, equazione polare


: IMMAGINE/APPLET : VERIFICA LE FORMULE : Le curve, Folium di Dures
  (ad applet avviato) Punti Mobili → a

0010556_V32|580|460|IMA=Geometria analitica del piano, le curve, folium di Dures


Made by Formule Development Team





Argomenti correlati e altri percorsi:


Folium di Cartesio
Geometria analitica del piano, curve, folium di Cartesio
(locale-Formule)

Folium semplice (o uovo di Keplero)
Geometria analitica del piano, curve, folium semplice (o uovo di Keplero)
(locale-Formule)

 

Folium di Dures, Epitrocoide/Folium of Dures, Epitrochoid
Gallery, Animazioni matematiche-Curve/Mathematical animations-Curves, Folium di Dures, Epitrocoide/Folium of Dures, Epitrochoid
(locale-Formule)

 




  Metti la scheda negli appunti    Click per visualizzare il blocco appunti Visualizza appunti    Click x svuotare blocco appunti Azzera appunti



UTILITY
FormuLe-MATEMATICALC

TROVA FORMULE

UTILITY
FormuLe-FISICALC


TROVA FORMULE

UTILITY
FormuLe-STATISTICALC

UTILITY
Formule-MATFINCALC

UTILITY
Formule-Software download

ARGOMENTI
Matematica

Frattali di Mandelbrot
Benoit Mandelbrot e la Geometria Frattale. Introduzione e immagini.

Statistica e giochi

Lotto e superEnalotto
Una sintetica comparazione statistica e finanziaria dei due giochi.

Ultimo aggiornamento - Last update:  17/11/2025
Privacy and cookies
© www.gobnf.com 2008-2026 - Tutto il materiale contenuto nel sito PUO' essere liberamente usato per scopi personali (studio, creazione di relazioni e tesine etc). Non e' consentito qualsiasi altro tipo di utilizzo o riproduzione. - The entire content of this site may be freely used ONLY for personal purposes (study, creation of reports etc.). It is not allowed any other use or reproduction.