Mappa del sito
Indice degli aggiornamenti  17/11/25
Metti formule tra i preferiti
Contattaci
Segnalaci ad un amico

Formule e argomenti di matematica, fisica e scienze
Albert Einstein: ... la nostra conoscenza, se paragonata alla realta' e' primitiva e infantile. Eppure e' il bene piu' grande che possediamo.
... all our science, measured against reality, is primitive and childlike-and yet it is the most precious thing we have.



Versione stampabile della scheda visualizzata sotto

Seguici in Facebook    Seguici in Pinterest

Matematica : Geometria analitica del piano → Le curve

Versiera di Agnesi


Versiera di Agnesi come luogo geometrico (costruzione)

Dati:
1. Un punto A, fissato all'origine degli assi;
2. Un punto O, sull'asse y;
3. Una circonferenza di raggio OA;
4. Un punto B, sull'asse y (punto di intersezione della circonferenza 3. con l'asse y);
5. Una retta, parallela all'asse x, passante per il punto B (4.);
6. Un punto C, fissato sulla una retta 5.;
7. Una retta, perpendicolare all'asse x, passante per il punto C (6.);
8. Un punto D, individuato dall'intersezione della retta passante per C (6.), A (1.) e la circonferenza 3.;
9. Una retta, parallela all'asse x, passante per il punto D (8.).
10. Un punto P individuato dall'intersezione della retta 7. (retta perpendicolare, all'asse x, passante per il punto C (6.)) e della retta 9. (retta parallela, all'asse x, passante per il punto D (8.)).

Il luogo dei punti P (10.) del piano, di coordinate P(xC,yD), descrivono la curva → la Versiera di Agnesi (o Versiera o Witch of Agnesi).

: IMMAGINE/APPLET : COSTRUZIONE : Le curve, Versiera di Agnesi come luogo geometrico
  (ad applet avviato) Punti Mobili → xC, O;

0010477a_V40|608|375|IMA=Le curve, Versiera di Agnesi come luogo geometrico




___ EQUAZIONE CARTESIANA VERSIERA

1. con a = Diametro della circonferenza (3.)

Geometria analitica del piano, curve, versiera di Agnesi, equazione cartesiana, equazione cartesiana esplicita, coordinate cartesiane, diametro della circonferenza

2. con r = Raggio della circonferenza (3.)

Geometria analitica del piano, curve, versiera di Agnesi, equazione cartesiana, equazione cartesiana esplicita, coordinate cartesiane, raggio della circonferenza


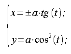
___ EQUAZIONE CARTESIANA PARAMETRICA VERSIERA

con con a = Diametro della circonferenza (3.), m = Coefficiente angolare della retta passante per AC (8.)

Geometria analitica del piano, curve, versiera di Agnesi, equazione parametrica, equazione parametrica cartesiana, coordinate cartesiane, coefficiente angolare



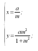
___ EQUAZIONE CARTESIANA PARAMETRICA VERSIERA

Geometria analitica del piano, curve, versiera di Agnesi, equazione parametrica, equazione parametrica cartesiana, coordinate cartesiane

: IMMAGINE/APPLET : VERIFICA LE FORMULE : Le curve, Versiera di Agnesi
  (ad applet avviato) Punti Mobili → a, α

0010477_V32|580|450|IMA=Geometria analitica del piano, le curve, versiera di Agnesi


Made by Formule Development Team





Argomenti correlati e altri percorsi:


Versiera di Agnesi/Witch of Agnesi
Gallery, Animazioni matematiche-Curve/Mathematical animations-Curves, Versiera di Agnesi/Witch of Agnesi
(locale-Formule)

 




  Metti la scheda negli appunti    Click per visualizzare il blocco appunti Visualizza appunti    Click x svuotare blocco appunti Azzera appunti



UTILITY
FormuLe-MATEMATICALC

TROVA FORMULE

UTILITY
FormuLe-FISICALC


TROVA FORMULE

UTILITY
FormuLe-STATISTICALC

UTILITY
Formule-MATFINCALC

UTILITY
Formule-Software download

ARGOMENTI
Matematica

Frattali di Mandelbrot
Benoit Mandelbrot e la Geometria Frattale. Introduzione e immagini.

Statistica e giochi

Lotto e superEnalotto
Una sintetica comparazione statistica e finanziaria dei due giochi.

Ultimo aggiornamento - Last update:  17/11/2025
Privacy and cookies
© www.gobnf.com 2008-2026 - Tutto il materiale contenuto nel sito PUO' essere liberamente usato per scopi personali (studio, creazione di relazioni e tesine etc). Non e' consentito qualsiasi altro tipo di utilizzo o riproduzione. - The entire content of this site may be freely used ONLY for personal purposes (study, creation of reports etc.). It is not allowed any other use or reproduction.