Matematica : Geometria del piano
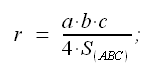
Misura del raggio del cerchio circoscritto ad un triangolo
MISURA DEL RAGGIO DEL CERCHIO CIRCOSCRITTO
Legenda:
A, B, C = Vertici del triangolo, S(ABC) = Superficie del triangolo, r = Raggio del cerchio circoscritto al triangolo, a, b, c = Lati, α, β, γ = Angoli.
: IMMAGINE/APPLET : VERIFICA LE FORMULE : Misura del raggio del cerchio circoscritto ad un triangolo
(ad applet avviato) Punti Mobili → A, B, C
0010461_V32|580|480|IMA=Geometria del piano, misura del raggio del cerchio circoscritto ad un triangolo
