Mappa del sito
Indice degli aggiornamenti  17/11/25
Metti formule tra i preferiti
Contattaci
Segnalaci ad un amico

Formule e argomenti di matematica, fisica e scienze
Albert Einstein: ... la nostra conoscenza, se paragonata alla realta' e' primitiva e infantile. Eppure e' il bene piu' grande che possediamo.
... all our science, measured against reality, is primitive and childlike-and yet it is the most precious thing we have.



Versione stampabile della scheda visualizzata sotto

Seguici in Facebook    Seguici in Pinterest

Matematica : Limiti

Limite di un quoziente

Se esistono e sono finiti i limiti di due funzioni definite in uno stesso intervallo e se il limite della funzione al denominatore e' ≠ 0, il limite del quoziente delle funzioni e' uguale al quoziente dei loro limiti:


Limiti, operazioni, limite di un quoziente



Teorema del quoziente
Se f(x) e g(x) sono due funzioni definite in uno stesso intervallo (escluso al piu' il punto c interno all'intervallo) e se esistono e sono finiti i limiti, della f(x) e della g(x) per x → c e il limite della g(x) ≠ 0, allora anche il loro quoziente ha limite finito e questo limite e' uguale al quoziente dei limiti.


Cioe', se:

Limiti, operazioni, limiti finiti delle funzioni

con n e m finiti, allora:

Limiti, operazioni, limite di una prodotto uguale al prodotto dei limiti




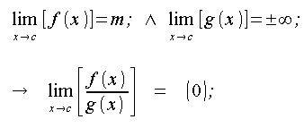
2) I LIMITI DELLE SINGOLE FUNZIONI → m, ±∞
Il limite del quoziente e' zero quando il limite della funzione al numeratore e' finito e il limite della funzione al denominatore e' + o - infinito:

Limiti, operazioni, limite della funzione a + o - infinito e limite della funzione al finito


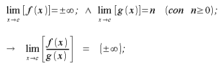
3) I LIMITI DELLE SINGOLE FUNZIONI → ±∞, n;
Il limite del quoziente e' + o - infinito quando il limite della funzione al numeratore e' + o - infinito e il limite della funzione al denominatore e' finito e ≥ 0:

Limiti, operazioni, limite della funzione a + o - infinito e limite della funzione al finito


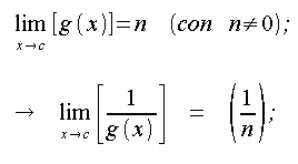
4) I LIMITI DELLE SINGOLE FUNZIONI → n
Il limite del quoziente e' 1/n quando il limite della funzione e' finito e ≠ 0:

Limiti, operazioni, limite della funzione finito e maggiore di zero


5) I LIMITI DELLE SINGOLE FUNZIONI → 0±
Il limite del quoziente e' + o - infinito quando il limite della funzione e' zero (-infinito quando il limite della funzione e' zero dalla sinistra o +infinito quando il limite della funzione e' zero dalla destra):

Limiti, operazioni, limiti a 1/n delle funzioni


7) FORMA INDETERMINATA - I LIMITI DELLE SINGOLE FUNZIONI → 0, 0
Non e' possibile dire nulla circa questo limite detto limite in FORMA INDETERMINATA O DI INDECISIONE. E' comunque possibile determinare l'esistenza del limite, e se esiste il suo valore, solo dopo aver effettuato uno studio particolare.

Limiti, operazioni, forma indeterminata zero su zero


7) FORMA INDETERMINATA - I LIMITI DELLE SINGOLE FUNZIONI → ∞, ∞
Non e' possibile dire nulla circa questo limite detto limite in FORMA INDETERMINATA O DI INDECISIONE. E' comunque possibile determinare l'esistenza del limite, e se esiste il suo valore, solo dopo aver effettuato uno studio particolare.

Limiti, operazioni, forma indeterminata infinito su infinito

Made by Formule Development Team





Argomenti correlati e altri percorsi:


Forma indeterminata zero su zero e infinito su infinito
Limiti, forma indeterminata zero su zero e infinito su infinito
(locale-Formule)

Forma indeterminata zero per infinito
Limiti, forma indeterminata zero per infinito
(locale-Formule)

 

Forma indeterminata +infinito meno infinito
Limiti, forma indeterminata +infinito meno infinito
(locale-Formule)

 




  Metti la scheda negli appunti    Click per visualizzare il blocco appunti Visualizza appunti    Click x svuotare blocco appunti Azzera appunti



UTILITY
FormuLe-MATEMATICALC

TROVA FORMULE

UTILITY
FormuLe-FISICALC


TROVA FORMULE

UTILITY
FormuLe-STATISTICALC

UTILITY
Formule-MATFINCALC

UTILITY
Formule-Software download

ARGOMENTI
Matematica

Frattali di Mandelbrot
Benoit Mandelbrot e la Geometria Frattale. Introduzione e immagini.

Statistica e giochi

Lotto e superEnalotto
Una sintetica comparazione statistica e finanziaria dei due giochi.

Ultimo aggiornamento - Last update:  17/11/2025
Privacy and cookies
© www.gobnf.com 2008-2026 - Tutto il materiale contenuto nel sito PUO' essere liberamente usato per scopi personali (studio, creazione di relazioni e tesine etc). Non e' consentito qualsiasi altro tipo di utilizzo o riproduzione. - The entire content of this site may be freely used ONLY for personal purposes (study, creation of reports etc.). It is not allowed any other use or reproduction.