Mappa del sito
Indice degli aggiornamenti  17/11/25
Metti formule tra i preferiti
Contattaci
Segnalaci ad un amico

Formule e argomenti di matematica, fisica e scienze
Albert Einstein: ... la nostra conoscenza, se paragonata alla realta' e' primitiva e infantile. Eppure e' il bene piu' grande che possediamo.
... all our science, measured against reality, is primitive and childlike-and yet it is the most precious thing we have.



Versione stampabile della scheda visualizzata sotto

Seguici in Facebook    Seguici in Pinterest

Matematica : Limiti

Limite di un prodotto

Se esistono e sono finiti i limiti di due funzioni definite in uno stesso intervallo, il limite del prodotto delle funzioni e' uguale al prodotto dei loro limiti:


Limiti, operazioni, limite di un prodotto



Teorema del prodotto
Se f(x) e g(x) sono due funzioni definite in uno stesso intervallo (escluso al piu' il punto c interno all'intervallo) e se esistono e sono finiti i limiti, della f(x) e della g(x) per x → c, allora anche il loro prodotto ha limite finito e questo limite e' uguale al prodotto dei limiti.


Cioe', se:

Limiti, operazioni, limiti finiti delle funzioni

con n e m finiti, allora:

Limiti, operazioni, limite di una prodotto uguale al prodotto dei limiti




2) I LIMITI DELLE SINGOLE FUNZIONI → +∞, +∞
Il limite del prodotto e' +infinito quando i limiti delle singole funzioni sono +infinito:

Limiti, operazioni, limiti a +infinito delle funzioni


3) I LIMITI DELLE SINGOLE FUNZIONI → -∞, -∞
Il limite del prodotto e' +infinito quando i limiti delle singole funzioni sono -infinito:

Limiti, operazioni, limiti a -infinito delle funzioni


4) I LIMITI DELLE SINGOLE FUNZIONI → +∞, -∞
Il limite del prodotto e' -infinito quando i limiti delle singole funzioni sono + e -infinito:

Limiti, operazioni, limiti a +infinito delle funzioni


5) I LIMITI DELLE SINGOLE FUNZIONI → +∞, n
Il limite del prodotto e' +infinito quando il limite di una funzione e' +infinito e il limite dell'altra e' finito:

Limiti, operazioni, limiti a +infinito delle funzioni


6) I LIMITI DELLE SINGOLE FUNZIONI → +∞, k;
Il limite del prodotto di una funzione per una costante e' + o - infinito (segno dipendente dal segno di k (> 0 o < 0)) e quando il limite della funzione e' +infinito:

Limiti, operazioni, limiti a +infinito delle funzioni


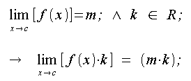
7) I LIMITI DELLE SINGOLE FUNZIONI → m, k;
Il limite del prodotto di una funzione per una costante e' uguale al prodotto del limite della funzione per la costante quando il limite della funzione e' finito:

Limiti, operazioni, limiti a +infinito delle funzioni


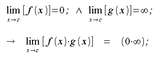
8) FORMA INDETERMINATA - I LIMITI DELLE SINGOLE FUNZIONI → 0, ∞
Non e' possibile dire nulla circa questo limite detto limite in FORMA INDETERMINATA O DI INDECISIONE. E' comunque possibile determinare l'esistenza del limite, e se esiste il suo valore, solo dopo aver effettuato uno studio particolare.

Limiti, operazioni, forma indeterminata zero per infinito

Made by Formule Development Team





Argomenti correlati e altri percorsi:


Forma indeterminata zero per infinito
Limiti, forma indeterminata zero per infinito
(locale-Formule)

 




  Metti la scheda negli appunti    Click per visualizzare il blocco appunti Visualizza appunti    Click x svuotare blocco appunti Azzera appunti



UTILITY
FormuLe-MATEMATICALC

TROVA FORMULE

UTILITY
FormuLe-FISICALC


TROVA FORMULE

UTILITY
FormuLe-STATISTICALC

UTILITY
Formule-MATFINCALC

UTILITY
Formule-Software download

ARGOMENTI
Matematica

Frattali di Mandelbrot
Benoit Mandelbrot e la Geometria Frattale. Introduzione e immagini.

Statistica e giochi

Lotto e superEnalotto
Una sintetica comparazione statistica e finanziaria dei due giochi.

Ultimo aggiornamento - Last update:  17/11/2025
Privacy and cookies
© www.gobnf.com 2008-2026 - Tutto il materiale contenuto nel sito PUO' essere liberamente usato per scopi personali (studio, creazione di relazioni e tesine etc). Non e' consentito qualsiasi altro tipo di utilizzo o riproduzione. - The entire content of this site may be freely used ONLY for personal purposes (study, creation of reports etc.). It is not allowed any other use or reproduction.