Mappa del sito
Indice degli aggiornamenti  17/11/25
Metti formule tra i preferiti
Contattaci
Segnalaci ad un amico

Formule e argomenti di matematica, fisica e scienze
Albert Einstein: ... la nostra conoscenza, se paragonata alla realta' e' primitiva e infantile. Eppure e' il bene piu' grande che possediamo.
... all our science, measured against reality, is primitive and childlike-and yet it is the most precious thing we have.



Versione stampabile della scheda visualizzata sotto

Seguici in Facebook    Seguici in Pinterest

Matematica : Geometria analitica del piano → Le curve

Lumaca di Pascal (Limaçon)


La lumaca di Pascal come luogo geometrico (costruzione)
La lumaca di Pascal e' descritta dai punti P e P1, individuati da: un punto O detto polo; una circonferenza di centro A e raggio OA (a1); un punto C fissato sulla circonferenza; una retta passante per C e O; due segmenti opposti per C di misura uguale alla distanza OA (raggio della circonferenza) sulla retta per C e O.

: IMMAGINE : Lumaca di Pascal come luogo geometrico


Geometria analitica del piano, immagine, limacon, lumaca di pascal come luogo geometrico



: GIF : Lumaca di Pascal come luogo geometrico


Geometria analitica del piano, animazione, limacon, lumaca di pascal come luogo geometrico




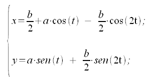
___ EQUAZIONE CARTESIANA PARAMETRICA LUMACA DI PASCAL

Geometria analitica del piano, curve, Lumaca di Pascal, chiocciola di Pascal, equazione parametrica, equazione parametrica cartesiana, coordinate cartesiane

___ EQUAZIONE POLARE LUMACA DI PASCAL

Geometria analitica del piano, curve, lumaca di Pascal, chiocciola di Pascal, equazione polare, coordinate polari


: IMMAGINE : Le curve, Lumaca di Pascal


Geometria analitica del piano, immagine, limacon, lumaca di pascal, le curve, epitrocoide



Made by Formule Development Team





Argomenti correlati e altri percorsi:


Limaçon

Gallery, Animazioni matematiche-Curve/Mathematical animations-Curves, Limaçon

(locale-Formule)

Limaçon, La podaria di una circonferenza/A pedal of a circle
Gallery, Animazioni matematiche-Curve/Mathematical animations-Curves, Limaçon, la podaria di una circonferenza/a pedal of a circle
(locale-Formule)

 

Lumaca trisettrice

Geometria analitica del piano, le curve, lumaca trisettrice


(locale-Formule)

Limaçon (Lumaca di Pascal/Limacon of Pascal)
Gallery, Animazioni matematiche-Curve/Mathematical animations-Curves, Limaçon, Lumaca di Pascal/Limacon of Pascal
(locale-Formule)

 




  Metti la scheda negli appunti    Click per visualizzare il blocco appunti Visualizza appunti    Click x svuotare blocco appunti Azzera appunti



UTILITY
FormuLe-MATEMATICALC

TROVA FORMULE

UTILITY
FormuLe-FISICALC


TROVA FORMULE

UTILITY
FormuLe-STATISTICALC

UTILITY
Formule-MATFINCALC

UTILITY
Formule-Software download

ARGOMENTI
Matematica

Frattali di Mandelbrot
Benoit Mandelbrot e la Geometria Frattale. Introduzione e immagini.

Statistica e giochi

Lotto e superEnalotto
Una sintetica comparazione statistica e finanziaria dei due giochi.

Ultimo aggiornamento - Last update:  17/11/2025
Privacy and cookies
© www.gobnf.com 2008-2026 - Tutto il materiale contenuto nel sito PUO' essere liberamente usato per scopi personali (studio, creazione di relazioni e tesine etc). Non e' consentito qualsiasi altro tipo di utilizzo o riproduzione. - The entire content of this site may be freely used ONLY for personal purposes (study, creation of reports etc.). It is not allowed any other use or reproduction.