Matematica : Funzioni reali di variabile reale
Discontinuita' di terza specie
Sia:
- Una funzione f(x), definita in un intervallo [a,b] (escluso al piu' un punto c)
- Un punto c in [a,b] in cui la f(x) non e' continua (o e' discontinua).
Si dice che:
la funzione f(x) nel punto c ha una discontinuita' di terza specie o discontinuita' eliminabile (1) se in tale punto, esiste finito il limite ma non esiste la f(x) in c o esiste la f(x) in c ma e' diversa dal limite (il limite di f(x) con x→c ≠ f(c)).
Il punto c si chiama punto singolare o di punto discontinuita' della funzione e la f(x) si dice funzione discontinua in c.
(1) Si dice discontinuita' eliminabile in quanto e' possibile stabilire la continuita' della f(x) in c (sia che la f(x) in c esiste (mediante la sostituzione del valore che assume la funzione nel punto c con il valore del limite) sia che la f(x) in c non esiste):
f(c) = lim della f(x) per x→c
: 1° IMMAGINE/APPLET DISCONTINUITA' ELIMINABILE O DI TERZA SPECIE :
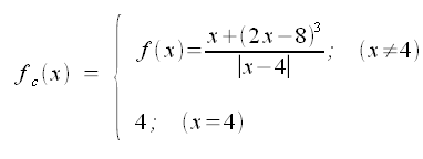
La f(x) definita in [a,b], rappresentata nell'applet, ha una discontinuita' di terza specie (e' discontinua nel punto c=4 (punto in cui la funzione non esiste)). Attivando l'animazione e' possibile vedere il limite della f(x) per x che tende al punto c.
Eliminando la discontinuita' (funzione nell'applet), la nuova funzione fc(x) di prolungamento per continuita' della f(x) in c e':
Pulsante animazione (in basso a sinistra):
= Avvia
= Ferma : IMMAGINE/APPLET : VERIFICA LE FORMULE : Discontinuita' di terza specie
0010440_V40|580|430|IMA=Funzioni reali di variabile reale, funzioni discontinue, discontinuita eliminabile o discontinuita di terza specie
: 2° IMMAGINE/APPLET DISCONTINUITA' ELIMINABILE O DI TERZA SPECIE :
La f(x) definita in [a,b], rappresentata nell'applet, ha una discontinuita' di terza specie (e' discontinua nel punto c=0 (punto in cui la funzione non esiste)). Attivando l'animazione e' possibile vedere il limite della f(x) per x che tende al punto c.
Eliminando la discontinuita' (funzione nell'applet), la nuova funzione fc(x) di prolungamento per continuita' della f(x) in c e':
Pulsante animazione (in basso a sinistra):
= Avvia
= Ferma : IMMAGINE/APPLET : VERIFICA LE FORMULE : Discontinuita' di terza specie
0010440a_V40|580|370|IMA=Funzioni reali di variabile reale, funzioni discontinue, discontinuita eliminabile o discontinuita di terza specie
