Mappa del sito
Indice degli aggiornamenti  17/11/25
Metti formule tra i preferiti
Contattaci
Segnalaci ad un amico

Formule e argomenti di matematica, fisica e scienze
Albert Einstein: ... la nostra conoscenza, se paragonata alla realta' e' primitiva e infantile. Eppure e' il bene piu' grande che possediamo.
... all our science, measured against reality, is primitive and childlike-and yet it is the most precious thing we have.



Versione stampabile della scheda visualizzata sotto

Seguici in Facebook    Seguici in Pinterest

Matematica : Geometria analitica del piano

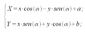
Rototraslazione del sistema di riferimento

Coordinate X e Y di un punto P rispetto ad un sistema 0XY di assi traslati ( assi paralleli e concordi al sistema 0xy con origine in O'(a,b) ) e ruotati (di un angolo α e centro in a, b).

ROTOTRASLAZIONE DEGLI ASSI

Geometria analitica del piano, rototraslazione del sistema di riferimento, equazioni rototraslazione degli assi

Nota → dalle equazioni della rototraslazione:
♦ se (a ∨ b ≠ 0) ∧ (α = 0) si ha una TRASLAZIONE degli assi (centro in O(a, b));
♦ se (a ∧ b = 0) ∧ (α ≠ 0) si ha una una ROTAZIONE degli assi di un angolo α in O(0,0).



Legenda:
P = Punto, P(O) = P(x, y) = Punto P rispetto al sistema di assi 0xy, P(O') = P(X1, Y1) = Punto P rispetto al sistema di assi (0'XY) traslati di centro O'(a, b), P(O',α) = P(X'1, Y'1) = Punto P rispetto al sistema di assi (0'X'Y') traslati e ruotati di un angolo α e di centro O'(a, b), α = Angolo di rotazione degli assi.

Dato un punto P (di coordinate x e y in un sistema di coordinate cartesiane ortogonali 0xy) ed a, b, e α → applicando le equazioni della rototraslazione possiamo vedere come varia il sistema di riferimento e di conseguenza le coordinate dello stesso punto P rispetto al nuovo sistema.

: IMMAGINE/APPLET : VERIFICA LE FORMULE : Rototraslazione del sistema di riferimento
  (ad applet avviato) Punti Mobili → P, α, a, b

0010434_V40|580|600|IMA=Geometria analitica del piano, rototraslazione del sistema di riferimento


Made by Formule Development Team





Argomenti correlati e altri percorsi:


Traslazione del sistema di riferimento
Geometria analitica del piano, traslazione del sistema di riferimento
(locale-Formule)

Rotazione del sistema di riferimento
Geometria analitica del piano, rotazione del sistema di riferimento
(locale-Formule)

 




  Metti la scheda negli appunti    Click per visualizzare il blocco appunti Visualizza appunti    Click x svuotare blocco appunti Azzera appunti



UTILITY
FormuLe-MATEMATICALC

TROVA FORMULE

UTILITY
FormuLe-FISICALC


TROVA FORMULE

UTILITY
FormuLe-STATISTICALC

UTILITY
Formule-MATFINCALC

UTILITY
Formule-Software download

ARGOMENTI
Matematica

Frattali di Mandelbrot
Benoit Mandelbrot e la Geometria Frattale. Introduzione e immagini.

Statistica e giochi

Lotto e superEnalotto
Una sintetica comparazione statistica e finanziaria dei due giochi.

Ultimo aggiornamento - Last update:  17/11/2025
Privacy and cookies
© www.gobnf.com 2008-2026 - Tutto il materiale contenuto nel sito PUO' essere liberamente usato per scopi personali (studio, creazione di relazioni e tesine etc). Non e' consentito qualsiasi altro tipo di utilizzo o riproduzione. - The entire content of this site may be freely used ONLY for personal purposes (study, creation of reports etc.). It is not allowed any other use or reproduction.