Mappa del sito
Indice degli aggiornamenti  17/11/25
Metti formule tra i preferiti
Contattaci
Segnalaci ad un amico

Formule e argomenti di matematica, fisica e scienze
Albert Einstein: ... la nostra conoscenza, se paragonata alla realta' e' primitiva e infantile. Eppure e' il bene piu' grande che possediamo.
... all our science, measured against reality, is primitive and childlike-and yet it is the most precious thing we have.



Versione stampabile della scheda visualizzata sotto

Seguici in Facebook    Seguici in Pinterest

Matematica : Trigonometria

Angoli esplementari e relazioni tra le funzioni

Due angoli (o archi) α e β si dicono ESPLEMENTARI (o OPPOSTI (α = -β), ( = β)) se la loro somma e' uguale a 360° (2π radianti):

Trigonometria, angoli esplementari




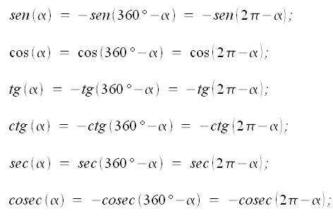
RELAZIONI TRA LE FUNZIONI CIRCOLARI DI ANGOLI ESPLEMENTARI
Le funzioni coseno e secante di angoli esplementari (α e β) sono uguali mentre le altre funzioni omonime sono opposte.


Trigonometria, relazioni tra le funzioni trigonometriche di angoli esplementari, seno, coseno, tangente, cotagente, secante, cosecante



Legenda:
α = Angolo α, β = Angolo β (esplemento di α), P = Punto goniometrico dell'angolo α, P1 = Punto goniometrico dell'angolo β.



: IMMAGINE/APPLET : VERIFICA LE FORMULE : Angoli esplementari
  (ad applet avviato) Punti Mobili → P

0010391_V32|520|630|IMA=Trigonometria, angoli esplementari


Made by Formule Development Team





Argomenti correlati e altri percorsi:


Angoli complementari e relazioni tra le funzioni
Trigonometria, angoli complementari e relazioni tra le funzioni
(locale-Formule)

Angoli supplementari e relazioni tra le funzioni
Trigonometria, angoli supplementari e relazioni tra le funzioni
(locale-Formule)

 

Angoli che differiscono di 180 gradi e relazioni tra le funzioni
Trigonometria, angoli che differiscono di 180 gradi e relazioni tra le funzioni
(locale-Formule)

Angoli che differiscono di 360 gradi e relazioni tra le funzioni
Trigonometria, angoli che differiscono di 360 gradi e relazioni tra le funzioni
(locale-Formule)

 




  Metti la scheda negli appunti    Click per visualizzare il blocco appunti Visualizza appunti    Click x svuotare blocco appunti Azzera appunti



UTILITY
FormuLe-MATEMATICALC

TROVA FORMULE

UTILITY
FormuLe-FISICALC


TROVA FORMULE

UTILITY
FormuLe-STATISTICALC

UTILITY
Formule-MATFINCALC

UTILITY
Formule-Software download

ARGOMENTI
Matematica

Frattali di Mandelbrot
Benoit Mandelbrot e la Geometria Frattale. Introduzione e immagini.

Statistica e giochi

Lotto e superEnalotto
Una sintetica comparazione statistica e finanziaria dei due giochi.

Ultimo aggiornamento - Last update:  17/11/2025
Privacy and cookies
© www.gobnf.com 2008-2026 - Tutto il materiale contenuto nel sito PUO' essere liberamente usato per scopi personali (studio, creazione di relazioni e tesine etc). Non e' consentito qualsiasi altro tipo di utilizzo o riproduzione. - The entire content of this site may be freely used ONLY for personal purposes (study, creation of reports etc.). It is not allowed any other use or reproduction.