Mappa del sito
Indice degli aggiornamenti  17/11/25
Metti formule tra i preferiti
Contattaci
Segnalaci ad un amico

Formule e argomenti di matematica, fisica e scienze
Albert Einstein: ... la nostra conoscenza, se paragonata alla realta' e' primitiva e infantile. Eppure e' il bene piu' grande che possediamo.
... all our science, measured against reality, is primitive and childlike-and yet it is the most precious thing we have.



Versione stampabile della scheda visualizzata sotto

Seguici in Facebook    Seguici in Pinterest

Matematica : Geometria analitica del piano

Superficie di un triangolo (formula dell'area di Gauss)


: IMMAGINE/APPLET : Superficie di un triangolo (formula dell'area di Gauss)
  (ad applet avviato) Punti mobili → A, B, C

0010232_V40|590|420|IMA=Geometria analitica del piano, Superficie di un triangolo, Immagine, Formula area di Gauss


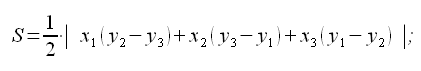
Superficie S di un triangolo ABC, note le coordinate dei vertici A(x1; y1)B(x2; y2)C(x3; y3)



Geometria analitica del piano, Superficie di un triangolo, Formula dell'area di Gauss


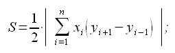
oppure (con n = al numero dei vertici del triangolo (n=3), yn+1 = y1):



Geometria analitica del piano, Superficie di un triangolo, sommatoria, Formula dell'area di Gauss

Made by Formule Development Team





Argomenti correlati e altri percorsi:


Formula di Erone
Geometria del piano, formula di Erone
(locale-Formule)

Area del triangolo
Trigonometria, area del triangolo
(locale-Formule)

 

Superficie di un poligono (formula dell'area di Gauss)
Geometria analitica del piano, superficie di un poligono (formula dell'area di Gauss)
(locale-Formule)

 




  Metti la scheda negli appunti    Click per visualizzare il blocco appunti Visualizza appunti    Click x svuotare blocco appunti Azzera appunti



UTILITY
FormuLe-MATEMATICALC

TROVA FORMULE

UTILITY
FormuLe-FISICALC


TROVA FORMULE

UTILITY
FormuLe-STATISTICALC

UTILITY
Formule-MATFINCALC

UTILITY
Formule-Software download

ARGOMENTI
Matematica

Frattali di Mandelbrot
Benoit Mandelbrot e la Geometria Frattale. Introduzione e immagini.

Statistica e giochi

Lotto e superEnalotto
Una sintetica comparazione statistica e finanziaria dei due giochi.

Ultimo aggiornamento - Last update:  17/11/2025
Privacy and cookies
© www.gobnf.com 2008-2026 - Tutto il materiale contenuto nel sito PUO' essere liberamente usato per scopi personali (studio, creazione di relazioni e tesine etc). Non e' consentito qualsiasi altro tipo di utilizzo o riproduzione. - The entire content of this site may be freely used ONLY for personal purposes (study, creation of reports etc.). It is not allowed any other use or reproduction.