Matematica : Equazioni e disequazioni
Equazioni di secondo grado (ad una incognita)
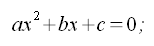
Si chiama equazione di secondo grado un polinomio razionale intero di secondo grado, ad una sola incognita, uguagliato a zero.
Forma tipica (o forma canonica o equazione generale della parabola) con a ≠ 0:

a, b, c si chiamano coefficienti dell'equazione e piu' precisamente:
- a → primo coefficiente o coefficiente del termine di secondo grado;
- b → secondo coefficiente o coefficiente del termine di primo grado;
- c → terzo coefficiente o coefficiente del termine di grado nullo detto termine noto.
Equazione di secondo grado COMPLETA
Un equazione di secondo grado si dice COMPLETA se b e c sono ≠ 0 (a ovviamente ≠ 0 come presupposto fondamentale).
METODI E FORMULE GENERALI RISOLUTIVE
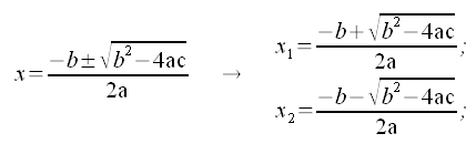
_____ .1. Formula generale

a memoria ... x e' uguale: al secondo coefficiente cambiato di segno (-b) piu'-meno (±) radice quadrata del secondo coefficiente alla seconda (b2) meno 4 volte il primo coefficiente (a) per il terzo (c) tutto fratto 2 volte il primo coefficiente (2a).
_____ .2. Prima formula ridotta
Se il secondo coefficiente (b) e' pari tale che esiste un numero intero k = b/2:

a memoria ... x e' uguale: al secondo coefficiente diviso 2 cambiato di segno (-b/2) piu'-meno (±) radice quadrata del secondo coefficiente diviso 2 alla seconda ((b/2)2) meno il primo coefficiente (a) per il terzo (c) tutto fratto il primo coefficiente (a).
_____ .3. Seconda formula ridotta
Se il secondo coefficiente (b) e' pari tale che esiste un numero intero k = b/2 e il primo coefficiente (a) = 1:

a memoria ... x e' uguale: al secondo coefficiente diviso 2 cambiato di segno (-b/2) piu'-meno (±) radice quadrata del secondo coefficiente diviso 2 alla seconda ((b/2)2) meno il terzo coefficiente(c).
Una equazione COMPLETA puo' ammettere:
1. Se il radicando(*) e' positivo: Due soluzioni (o radici) reali e distinte;
2. Se il radicando(*) e' nullo: Due soluzioni (o radici) reali coincidenti;
3. Se il radicando(*) e' negativo: Nessuna soluzione (o radice) nell'insieme dei numeri reali o soluzioni (o radici) complesse (o immaginarie).
radicando(*): Il radicando e' chiamato DISCRIMINANTE e si indica con la lettera greca Δ (delta)
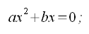
Equazione di secondo grado SPURIA o IMPURA
Un equazione di secondo grado si chiama equazione incompleta binomia di primo tipo (piu' comunemente detta equazione SPURIA o IMPURA) se il terzo coefficiente o termine noto c = 0:

METODI E FORMULE GENERALI RISOLUTIVE
Possiamo sempre utilizzare le formule risolutive di un'equazione di secondo grado COMPLETA ma, solitamente, in un equazione spuria o impura si procede cosi':
- Trasformiamo l'equazione mettento in evidenza l'incognita x:
x(ax + b) = 0;
- Per mezzo della legge di annullamento di un prodotto, possiamo scrivere:
x1 = 0;
ax + b = 0 → x2 = -b/a;
Una equazione SPURIA o IMPURA ammette sempre 2 soluzioni (o radici) reali e distinte (x1, x2) di cui una nulla (x1).
Equazione di secondo grado PURA
Un equazione di secondo grado si chiama equazione incompleta binomia di secondo tipo (piu' comunemente detta equazione PURA) se il secondo coefficiente o termine noto b = 0:

METODI E FORMULE GENERALI RISOLUTIVE
Possiamo sempre utilizzare le formule risolutive di un'equazione di secondo grado COMPLETA ma, solitamente, in un equazione pura procede cosi':
- Trasformiamo l'equazione lasciando al primo membro l'incognita x e spostando il resto al secondo menbro:
x2 = -c/a; → x1 = +Radice(-c/a), x2 = -Radice(-c/a);
Una equazione PURA puo' ammettere:
1. Se il radicando e' positivo: Due soluzioni (o radici) reali e opposte;
2. Se il radicando e' negativo: Nessuna soluzione (o radice) nell'insieme dei numeri reali o soluzioni (o radici) complesse (o immaginarie).
Equazione di secondo grado INCOMPLETA
Un equazione di secondo grado si chiama equazione incompleta monomia se i coefficenti b e c sono = 0:

METODI E FORMULE GENERALI RISOLUTIVE
Possiamo sempre utilizzare le formule risolutive di un'equazione di secondo grado COMPLETA ma, solitamente, in un equazione incompleta si procede cosi':
- Per mezzo della legge di annullamento di un prodotto, possiamo scrivere:
ax2 = 0; → x1 = 0, x2 = 0;
Una equazione INCOMPLETA ammette sempre 2 soluzioni (o radici) reali coincidenti e nulle.
