Mappa del sito
Indice degli aggiornamenti  17/11/25
Metti formule tra i preferiti
Contattaci
Segnalaci ad un amico

Formule e argomenti di matematica, fisica e scienze
Albert Einstein: ... la nostra conoscenza, se paragonata alla realta' e' primitiva e infantile. Eppure e' il bene piu' grande che possediamo.
... all our science, measured against reality, is primitive and childlike-and yet it is the most precious thing we have.



Versione stampabile della scheda visualizzata sotto

Seguici in Facebook    Seguici in Pinterest

Matematica : Calcolo differenziale

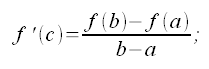
Teorema di Lagrange (o del valor medio)


Sia data una f(x), tale che:

- E' funzione continua nell'intervallo [a,b];

- E' derivabile in tutti i punti interni all'intervallo;

Allora:

Esiste ALMENO un punto c interno all'intervallo [a,b], tale che

  Calcolo differenziale, Teorema di Lagrange


Interpretazione geometrica:
In un arco di una curva continua, dotato di tangente in ogni suo punto, esiste almeno un punto interno all'arco nel quale la tangente (t) e' parallela alla corda (AB) congiungente i punti estremi dell'arco.

  Calcolo differenziale, Teorema di Lagrange, tangente all'arco


: IMMAGINE/APPLET : VERIFICA LE FORMULE : Calcolo differenziale, Teorema di Lagrange, Interpretazione geometrica
  (ad applet avviato) Punti Mobili → a, b

0010210_V40|590|600|IMA=Calcolo differenziale, Teorema di Lagrange, Interpretazione geometrica


Made by Formule Development Team





Argomenti correlati e altri percorsi:


Teorema di Rolle
Calcolo differenziale, teorema di Rolle
(locale-Formule)

Teorema di Cauchy
Calcolo differenziale, teorema di Cauchy
(locale-Formule)

 




  Metti la scheda negli appunti    Click per visualizzare il blocco appunti Visualizza appunti    Click x svuotare blocco appunti Azzera appunti



UTILITY
FormuLe-MATEMATICALC

TROVA FORMULE

UTILITY
FormuLe-FISICALC


TROVA FORMULE

UTILITY
FormuLe-STATISTICALC

UTILITY
Formule-MATFINCALC

UTILITY
Formule-Software download

ARGOMENTI
Matematica

Frattali di Mandelbrot
Benoit Mandelbrot e la Geometria Frattale. Introduzione e immagini.

Statistica e giochi

Lotto e superEnalotto
Una sintetica comparazione statistica e finanziaria dei due giochi.

Ultimo aggiornamento - Last update:  17/11/2025
Privacy and cookies
© www.gobnf.com 2008-2026 - Tutto il materiale contenuto nel sito PUO' essere liberamente usato per scopi personali (studio, creazione di relazioni e tesine etc). Non e' consentito qualsiasi altro tipo di utilizzo o riproduzione. - The entire content of this site may be freely used ONLY for personal purposes (study, creation of reports etc.). It is not allowed any other use or reproduction.