Mappa del sito
Indice degli aggiornamenti  17/11/25
Metti formule tra i preferiti
Contattaci
Segnalaci ad un amico

Formule e argomenti di matematica, fisica e scienze
Albert Einstein: ... la nostra conoscenza, se paragonata alla realta' e' primitiva e infantile. Eppure e' il bene piu' grande che possediamo.
... all our science, measured against reality, is primitive and childlike-and yet it is the most precious thing we have.



Versione stampabile della scheda visualizzata sotto

Seguici in Facebook    Seguici in Pinterest

Matematica : Elementi di algebra

Radicali

Si dice radice aritmetica di radicando m ed indice n (con n appartenente all'insieme N+) e si scrive

  Elementi di algebra, radicale
il numero r tale che rn = m:

  Elementi di algebra, radicale


Osservazioni importanti:

- La radice di indice pari e radicando negativo NON ESISTE;

- La radice di indice dispari ESISTE SEMPRE ed e' unica;

- Le radici opposte, di indice pari e radicando positivo ESISTONO SEMPRE.



Proprieta dei radicali:

- Il prodotto di due radicali di indice uguale n e' uguale ad un radicale che ha per indice n e per radicando il prodotto dei radicandi (m * p):

Elementi di algebra, radicale


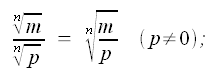
- Il quoziente di due radicali di indice uguale n e' uguale ad un radicale che ha per indice n e per radicando il quoziente dei radicandi (m / p) (con p ≠ 0):

Elementi di algebra, radicale


- La potenza n-esima di un radicale di indice n' e' uguale ad un radicale che ha per indice n' e per radicando la potenza n-esima del radicando:

Elementi di algebra, radicale


- La radice n-esima di un radicale di indice n' e' uguale ad un radicale che ha per indice il prodotto degli indici (n * n') e radicando uguale al radicando:

Elementi di algebra, radicale


Made by Formule Development Team








  Metti la scheda negli appunti    Click per visualizzare il blocco appunti Visualizza appunti    Click x svuotare blocco appunti Azzera appunti



UTILITY
FormuLe-MATEMATICALC

TROVA FORMULE

UTILITY
FormuLe-FISICALC


TROVA FORMULE

UTILITY
FormuLe-STATISTICALC

UTILITY
Formule-MATFINCALC

UTILITY
Formule-Software download

ARGOMENTI
Matematica

Frattali di Mandelbrot
Benoit Mandelbrot e la Geometria Frattale. Introduzione e immagini.

Statistica e giochi

Lotto e superEnalotto
Una sintetica comparazione statistica e finanziaria dei due giochi.

Ultimo aggiornamento - Last update:  17/11/2025
Privacy and cookies
© www.gobnf.com 2008-2026 - Tutto il materiale contenuto nel sito PUO' essere liberamente usato per scopi personali (studio, creazione di relazioni e tesine etc). Non e' consentito qualsiasi altro tipo di utilizzo o riproduzione. - The entire content of this site may be freely used ONLY for personal purposes (study, creation of reports etc.). It is not allowed any other use or reproduction.