Mappa del sito
Indice degli aggiornamenti  17/11/25
Metti formule tra i preferiti
Contattaci
Segnalaci ad un amico

Formule e argomenti di matematica, fisica e scienze
Albert Einstein: ... la nostra conoscenza, se paragonata alla realta' e' primitiva e infantile. Eppure e' il bene piu' grande che possediamo.
... all our science, measured against reality, is primitive and childlike-and yet it is the most precious thing we have.



Versione stampabile della scheda visualizzata sotto

Seguici in Facebook    Seguici in Pinterest

Matematica : Geometria del piano

Secondo teorema di Euclide

In ogni triangolo rettangolo (ABC) il quadrato costruito sull'altezza relativa all'ipotenusa (EDAP) e' uguale al rettangolo (PBHF) avente come misura dei lati, le proiezioni dei cateti sull'ipotenusa (PB, CP).

geometria del piano, secondo teorema di Euclide, triangolo rettangolo, formula

da cui:


    ♦ L'   A L T E Z Z A

      Geometria del piano, II teorema di Euclide, triangolo rettangolo, altezza relativa all'ipotenusa, formula

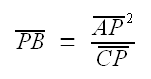
    ♦ L A   P R O I E Z I O N E   (del cateto AB sull'ipotenusa CB)

     Geometria del piano, secondo teorema di Euclide, triangolo rettangolo, la proiezione di un cateto sull'ipotenusa, formula

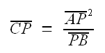
    ♦ L A   P R O I E Z I O N E   (del cateto CA sull'ipotenusa CB)

     Geometria del piano, secondo teorema di Euclide, triangolo rettangolo, la proiezione dell'altro cateto sull'ipotenusa, formula

Legenda:
A, B, C = Vertici del triangolo rettangolo, BC = Ipotenusa, AB, CA = Cateti, EDAP = Quadrato costruito sull'altezza relativa all'ipotenusa, PB = Proiezione del cateto AB sull'ipotenusa CB, CP = Proiezione del cateto CA sull'ipotenusa CB, (PBHF) = Rettangolo, S(EDAP) = Superficie del quadrato costruito sull'altezza (AP2), S(FPBH) = Superficie del rettangolo (lati: PB e CP)


: IMMAGINE/APPLET : VERIFICA LE FORMULE : Secondo teorema di Euclide
  (ad applet avviato) Punti Mobili → A, B, C

0010080_V32|585|600|IMA=Geometria del piano, secondo teorema di Euclide


SE NON HAI TROVATO LA FORMULA, PROVA A CERCARLA CON IL TROVAFORMULe
Usa il quadro comandi, seleziona il poligono, scegli cio' che devi trovare, descrivi cio' che conosci, se il motore e' in grado di farlo, ti dara' la dritta giusta ;)


MATEMATICALC, TRIANGOLO RETTANGOLO
(locale-Formule)  MatematiCalc, Trovaformule, Geometria del piano 1.0



Made by Formule Development Team




Argomenti correlati e altri percorsi:


Triangolo rettangolo

Geometria del piano, triangolo rettangolo


(locale-Formule)

Triangolo rettangolo con angoli particolari (30/60 gradi, 45 gradi)
Geometria del piano, triangolo rettangolo con angoli particolari (30/60 gradi, 45 gradi)
(locale-Formule)

 

Teorema di Pitagora
Geometria del piano, teorema di Pitagora

(locale-Formule)

Primo teorema di Euclide
Geometria del piano, primo teorema di Euclide
(locale-Formule)

 




  Metti la scheda negli appunti    Click per visualizzare il blocco appunti Visualizza appunti    Click x svuotare blocco appunti Azzera appunti



UTILITY
FormuLe-MATEMATICALC

TROVA FORMULE

UTILITY
FormuLe-FISICALC


TROVA FORMULE

UTILITY
FormuLe-STATISTICALC

UTILITY
Formule-MATFINCALC

UTILITY
Formule-Software download

ARGOMENTI
Matematica

Frattali di Mandelbrot
Benoit Mandelbrot e la Geometria Frattale. Introduzione e immagini.

Statistica e giochi

Lotto e superEnalotto
Una sintetica comparazione statistica e finanziaria dei due giochi.

Ultimo aggiornamento - Last update:  17/11/2025
Privacy and cookies
© www.gobnf.com 2008-2026 - Tutto il materiale contenuto nel sito PUO' essere liberamente usato per scopi personali (studio, creazione di relazioni e tesine etc). Non e' consentito qualsiasi altro tipo di utilizzo o riproduzione. - The entire content of this site may be freely used ONLY for personal purposes (study, creation of reports etc.). It is not allowed any other use or reproduction.