Matematica : Progressioni numeriche
Progressioni aritmetiche
Definizione:
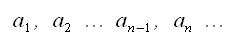
Una progressione aritmetica e' una successione di NUMERI (chiamati termini o elementi della progressione)
tali che la DIFFERENZA fra un termine e il precedente e' costante
La DIFFERENZA costante fra un termine e il precedente, che abbiamo indicato sopra con la lettera k, e' chiamata ragione.
La ragione, in una progressione aritmetica, viene solitamente indicata con la lettera d.
Se la ragione:
d > 0 → la progressione e' crescente: ogni termine della progressione e' MAGGIORE del termine precedente;
d < 0 → la progressione e' decrescente: ogni termine della progressione e' MINORE del termine precedente;
d = 0 → la progressione e' costante: tutti termini della progressione sono uguali.
Un termine qualunque, in una progressione aritmetica, puo' essere ottenuto sommando o sottraendo la ragione al termine precedente (o al termine successivo).
Il primo e l'ultimo termine, in una progressione con un numero finito di elementi, sono chiamati estremi della progressione.
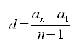
LA RAGIONE (d)
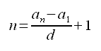
IL NUMERO DEI TERMINI (n)
IL PRIMO TERMINE (a1)
In una progressione aritmetica, il primo termine e' uguale alla differenza fra il termine n-esimo e il numero dei termini che lo precedono moltiplicati la ragione.
IL TERMINE N-SIMO (an)
In una progressione aritmetica, il termine n-esimo e' uguale alla somma del primo termine e il numero dei termini che lo precedono moltiplicati la ragione.
LA SOMMA DI TERMINI CONSECUTIVI (Sn)
In una progressione aritmetica, la somma dei primi n termini consecutivi e' uguale alla somma dei termini estremi per il numero n dei termini diviso 2.
DUE TERMINI QUALSIASI (ap, ar)
In una progressione aritmetica, un termine qualsiasi ap e' uguale alla somma di un'altro termine qualsiasi ar e la differenza fra le posizioni dei due termini (p - r) moltiplicata per la ragione.
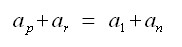
LA SOMMA DI DUE TERMINI EQUIDISTANTI DAGLI ESTREMI (ap, ar)
In una progressione aritmetica con un numero di elementi finiti, la somma di due termini ap e ar equidistanti dagli estremi (il numero di termini che precedono ap e' = il numero di termini che seguono ar) e' uguale alla somma degli estremi.
