Mappa del sito
Indice degli aggiornamenti  17/11/25
Metti formule tra i preferiti
Contattaci
Segnalaci ad un amico

Formule e argomenti di matematica, fisica e scienze
Albert Einstein: ... la nostra conoscenza, se paragonata alla realta' e' primitiva e infantile. Eppure e' il bene piu' grande che possediamo.
... all our science, measured against reality, is primitive and childlike-and yet it is the most precious thing we have.



Versione stampabile della scheda visualizzata sotto

Seguici in Facebook    Seguici in Pinterest

Matematica : Calcolo differenziale

Regole di derivazione


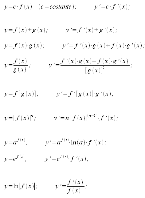
DERIVATA DEL PRODOTTO DI UNA COSTANTE PER UNA FUNZIONE
La derivata del prodotto di una costante c per una funzione y=f(x) e' uguale alla costante per la derivata della funzione.


Calcolo differenziale, regole di derivazione



DERIVATA DELLA SOMMA/DIFFERENZA DI DUE O PIU' FUNZIONI
La derivata della somma (o differenza) di una o piu' funzioni derivabili e' uguale alla somma (o differenza) delle derivate delle funzioni stesse.


Calcolo differenziale, derivata somma di funzioni



DERIVATA DEL PRODOTTO DI DUE FUNZIONI
La derivata del prodotto di due funzioni derivabili e' uguale al prodotto della derivata del primo fattore per il secondo fattore (non derivato) piu' (+) il prodotto del primo fattore (non derivato) per la derivata del secondo fattore.


Calcolo differenziale, derivata prodotto di funzioni



DERIVATA DEL QUOZIENTE DI DUE FUNZIONI
La derivata del quoziente di due funzioni derivabili e' uguale al prodotto della derivata del numeratore per il denominatore (non derivato) meno (-) il prodotto del numeratore (non derivato) per la derivata denominatore tutto fratto il denominatore al quadrato.


Calcolo differenziale, derivata quoziente di funzioni



DERIVATA DI UNA FUNZIONE DI FUNZIONE


Calcolo differenziale, derivata funzioni di funzioni



DERIVATA DELLA POTENZA N-ESIMA DI UNA FUNZIONE
La derivata della potenza n-esima di una funzione (con n intero > 1) e' uguale all'esponente che moltiplica la funzione elevata ad n-1 (esponente diminuito di 1) per la derivata della funzione stessa.


Calcolo differenziale, derivata quoziente di funzioni



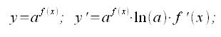
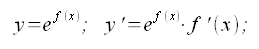
DERIVATA DI af(x) (con a costante > 0) ED ef(x)


Calcolo differenziale, derivata quoziente di funzioni
Calcolo differenziale, derivata quoziente di funzioni



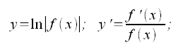
DERIVATA LOGARITMICA
La derivata del logaritmo naturale di una funzione derivabile e' uguale al rapporto tra la funzione derivata e la funzione stessa.


Calcolo differenziale, derivata logaritmo naturale di funzione




: R I E P I L O G O    R E G O L E    D I    D E R I V A Z I O N E :

Calcolo differenziale, derivata logaritmo naturale di funzione

Made by Formule Development Team





Argomenti correlati e altri percorsi:


Definizione di derivata
Calcolo differenziale, definizione di derivata
(locale-Formule)

Derivate fondamentali
Calcolo differenziale, derivate fondamentali
(locale-Formule)

 




  Metti la scheda negli appunti    Click per visualizzare il blocco appunti Visualizza appunti    Click x svuotare blocco appunti Azzera appunti



UTILITY
FormuLe-MATEMATICALC

TROVA FORMULE

UTILITY
FormuLe-FISICALC


TROVA FORMULE

UTILITY
FormuLe-STATISTICALC

UTILITY
Formule-MATFINCALC

UTILITY
Formule-Software download

ARGOMENTI
Matematica

Frattali di Mandelbrot
Benoit Mandelbrot e la Geometria Frattale. Introduzione e immagini.

Statistica e giochi

Lotto e superEnalotto
Una sintetica comparazione statistica e finanziaria dei due giochi.

Ultimo aggiornamento - Last update:  17/11/2025
Privacy and cookies
© www.gobnf.com 2008-2026 - Tutto il materiale contenuto nel sito PUO' essere liberamente usato per scopi personali (studio, creazione di relazioni e tesine etc). Non e' consentito qualsiasi altro tipo di utilizzo o riproduzione. - The entire content of this site may be freely used ONLY for personal purposes (study, creation of reports etc.). It is not allowed any other use or reproduction.